Senaste uppdateringen :
18/03/2026
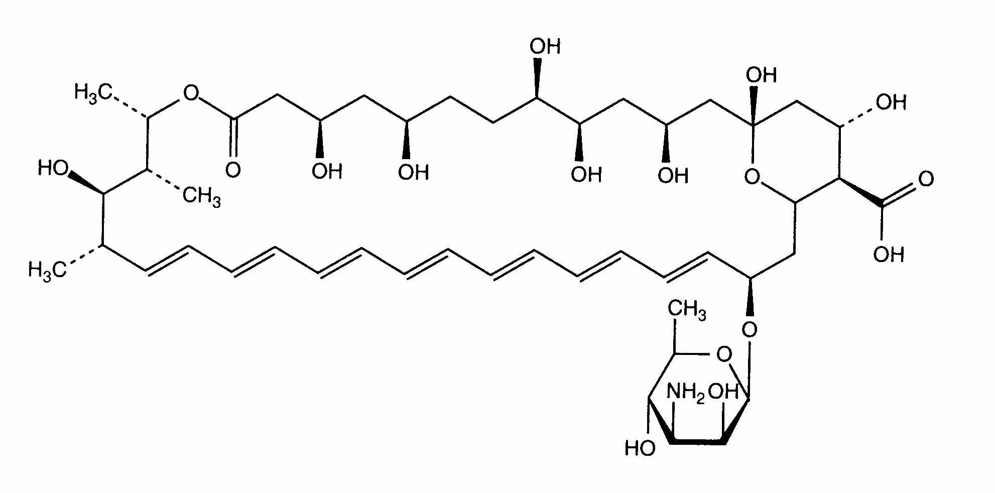
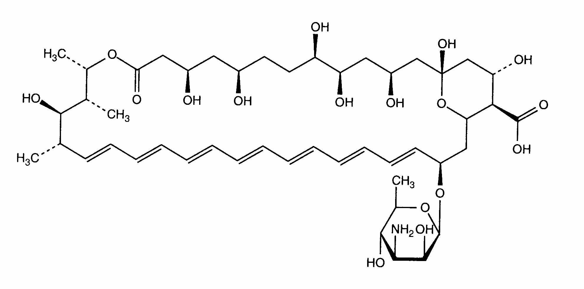
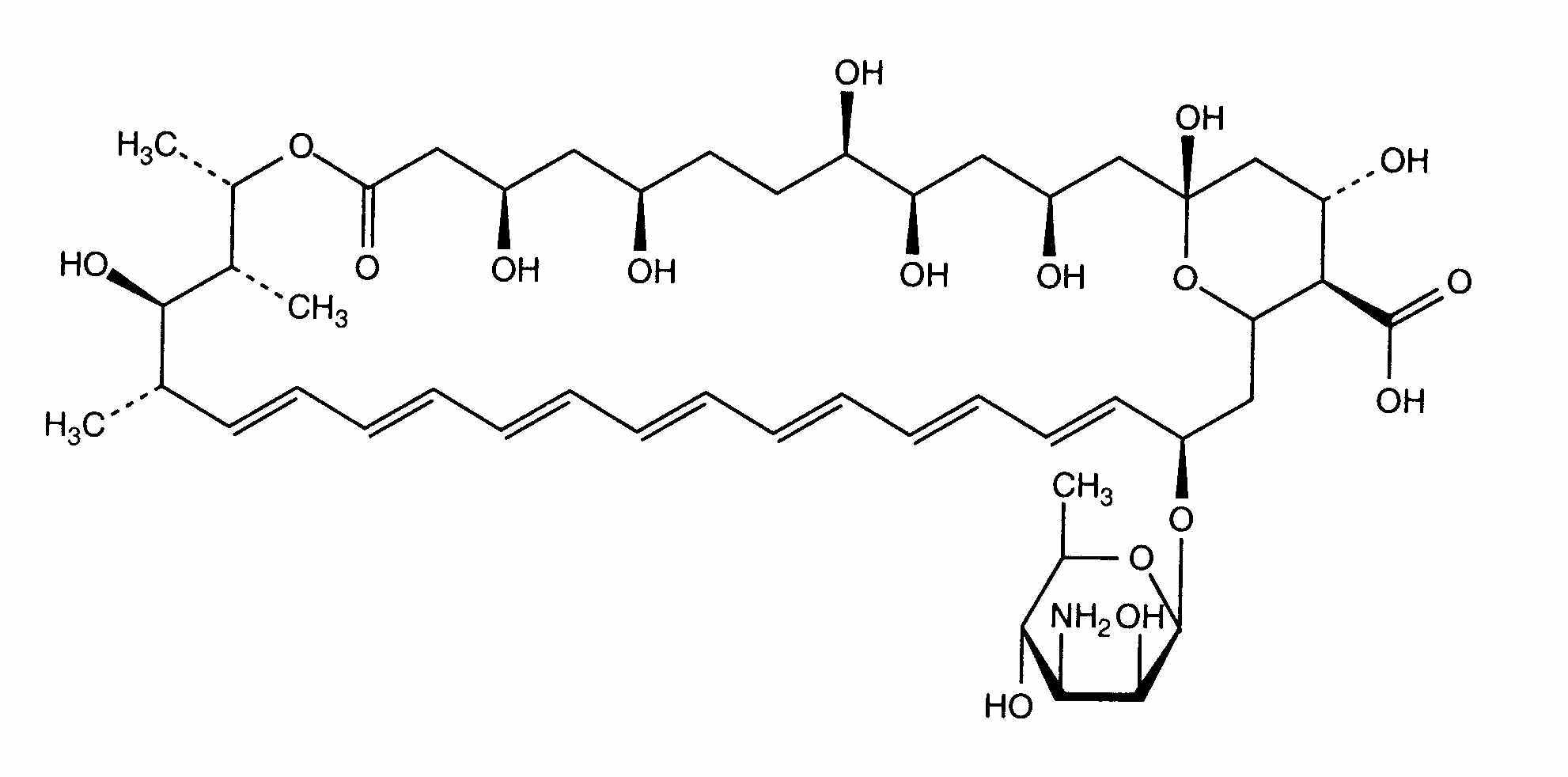
Antimykotikum   Amphotericin B liposomale  
ögondroppar
injektion
Stabilitet av läkemedel Stabilitet i blandningar Faktorer som påverkar stabiliteten Kompatibilitet Hänvisningar pdf
Liposom   Molekylstruktur  

ögondroppar
Stabilitet i blandningar   ögondroppar   Stabilitet i blandningar : Amphotericin B liposomale     
Ingen uppgift

  Mentions Légales