Τελευταία ενημέρωση :
18/03/2026
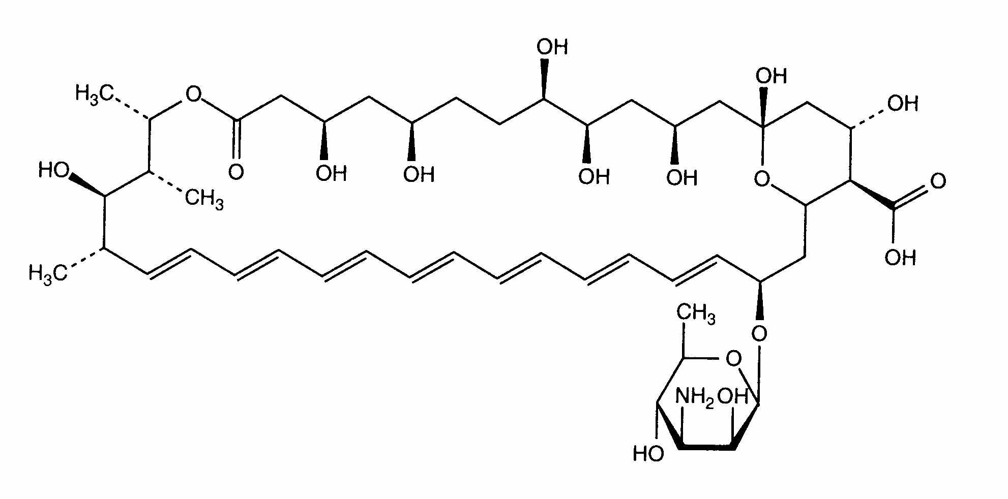
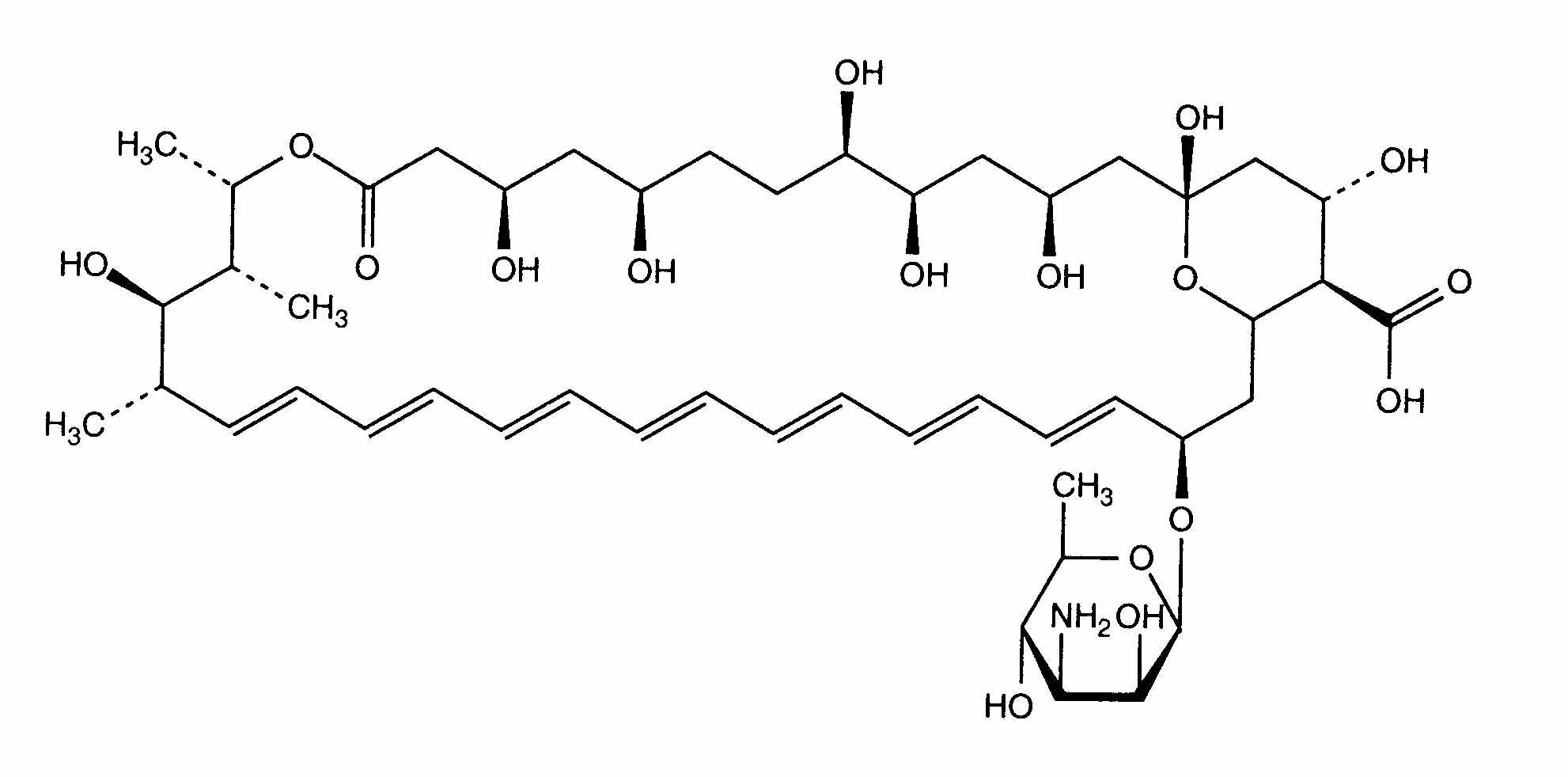
Αντιμυκητικό   Amphotericin B liposomale  
Οφθαλμικές σταγόνες
Ενέσιμο
Σταθερότητα και συμβατότητα των φαρμάκων Σταθερότητα σε μίγματα Παράγοντας που επηρεάζει τη σταθερότητα Συμβατότητες Βιβλιογραφία pdf
Λιπόσωμα   χημική δομή  

Οφθαλμικές σταγόνες
Σταθερότητα σε μίγματα   Οφθαλμικές σταγόνες   Σταθερότητα σε μίγματα : Amphotericin B liposomale     
Δεν υπάρχουν πληροφορίες

  Mentions Légales