Laatste update :
18/03/2026
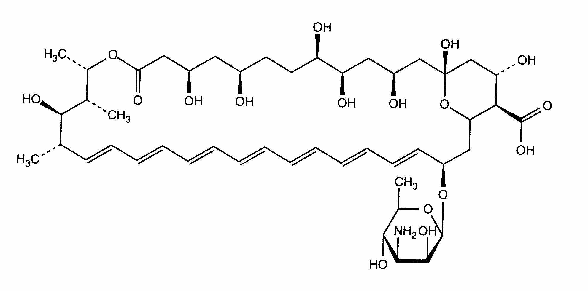
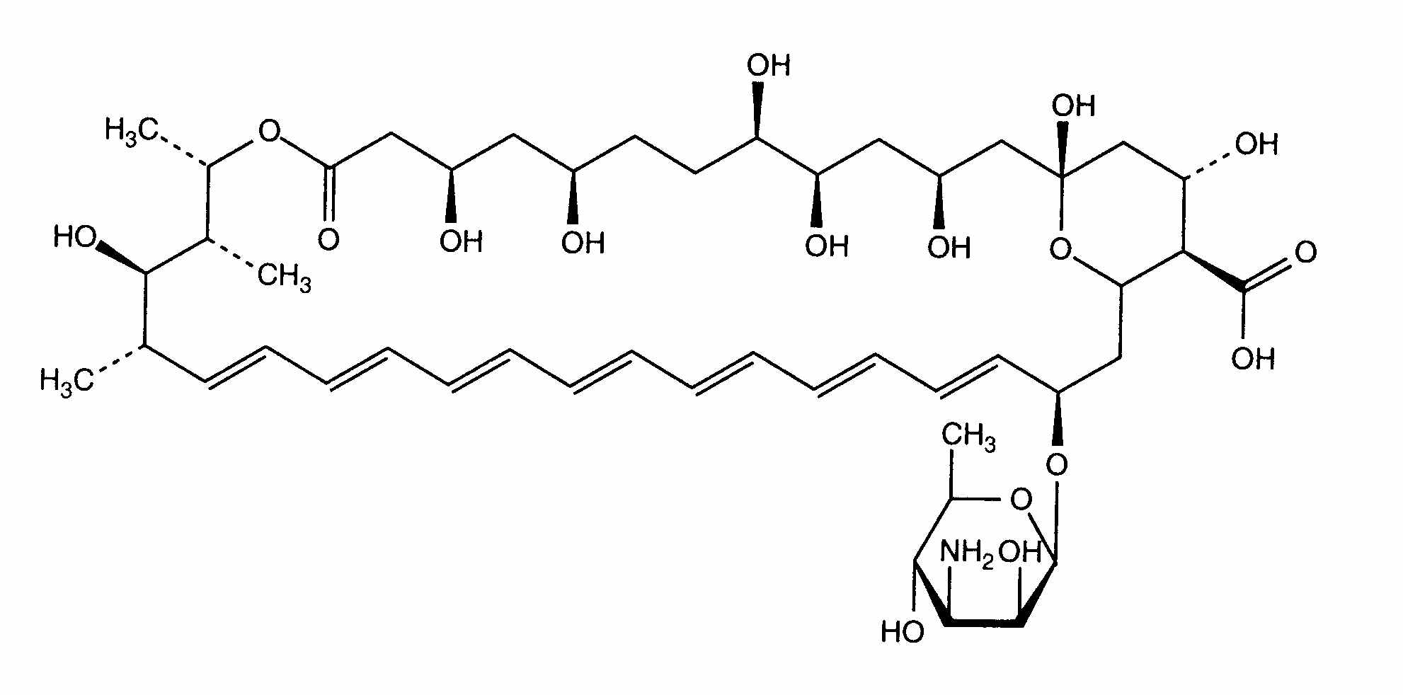
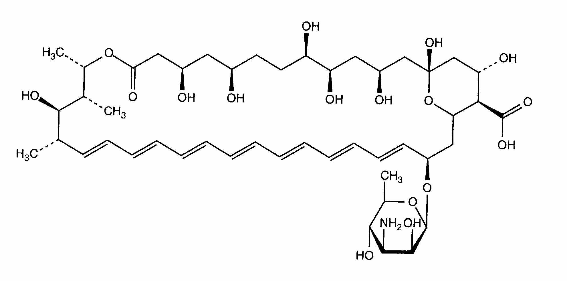
Antimycoticum   Amphotericin B liposomale  
Oogwater
injecteerbaar geneesmiddel
Stabiliteit van farmaceutische preparaten Stabiliteit in mengsels Factoren die de stabiliteit beïnvloeden Verenigbaarheden Literatuur pdf
Liposomen   Molecuulstructuur  

Oogwater
Stabiliteit in mengsels   Oogwater   Stabiliteit in mengsels : Amphotericin B liposomale     
geen gegevens

  Mentions Légales