Siste oppdatering :
18/03/2026
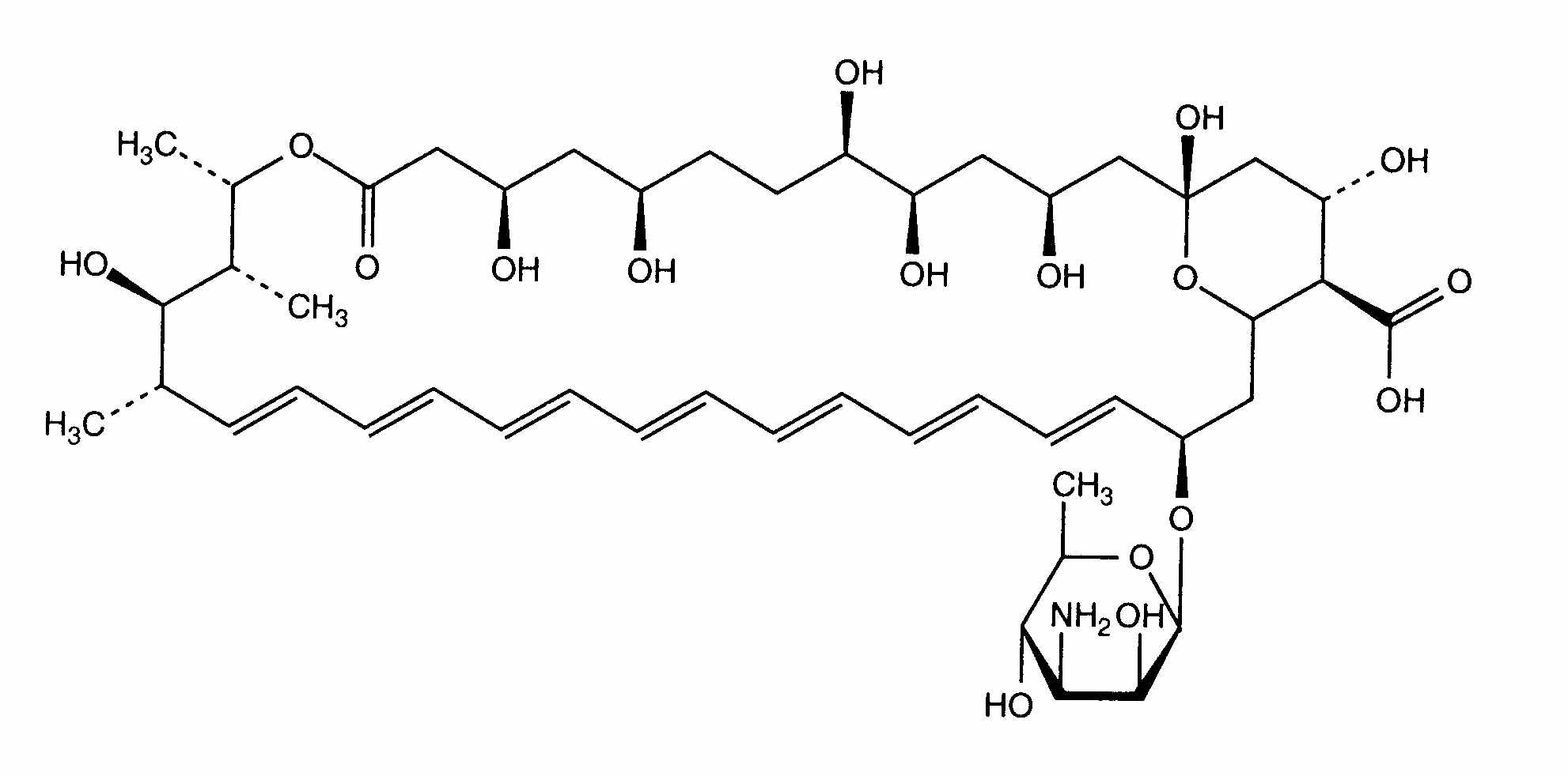
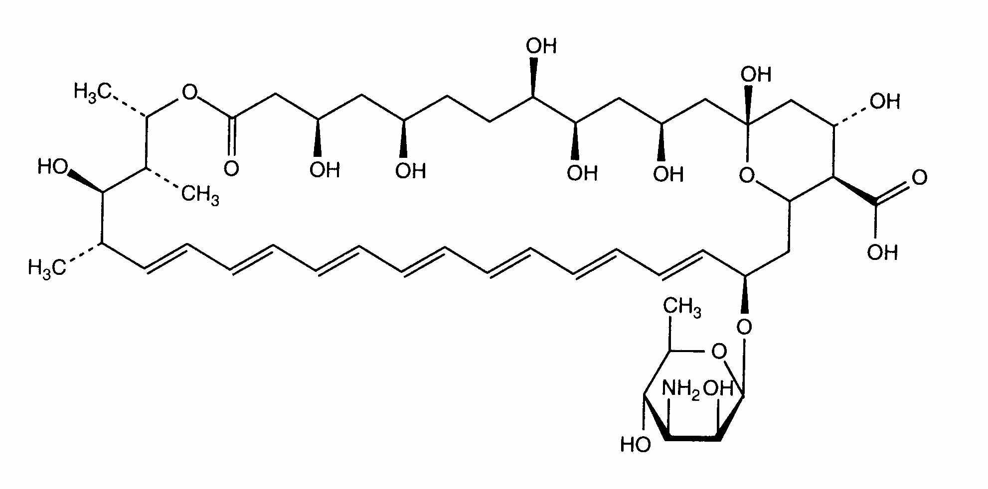
Fungicid   Amphotericin B liposomale  
Øyedråper
Injeksjon
Stabilitet av farmasøytiske preparater Stabilitet i blandinger Faktorer som påvirker stabiliteten Kompatibilitet Referanser pdf
Liposom   Kjemisk struktur  

Øyedråper
Stabilitet i blandinger   Øyedråper   Stabilitet i blandinger : Amphotericin B liposomale     
Ingen opplysninger

  Mentions Légales