Останнє оновлення :
31/03/2026
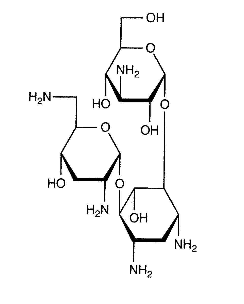
Антибіотик   Tobramycin sulfate  
аерозоль
ін'єкція Очні краплі Розчин для перорального застосування
Стабільність фармацевтичних препаратів Стійкість сумішей Фактори, що впливають на стабільність Сумісність Список літератури pdf
   Хімічна структура  

аерозоль

Фактори, що впливають на стабільність   аерозоль   Фактори, що впливають на стабільність : Tobramycin sulfate        
7 / 5 000 Résultats de traduction Немає даних

  Mentions Légales