Letztes “update” :
31/03/2026
Antibiotikum   Tobramycin sulfate  
Aerosol
Augentropfen Injektion Lösung zum Einnehmen
Stabilität von pharmazeutischen Präparaten Gemengestabilität Stabilitätbeeinflussende Faktoren Kompatibilitäten Literaturverzeichnis pdf
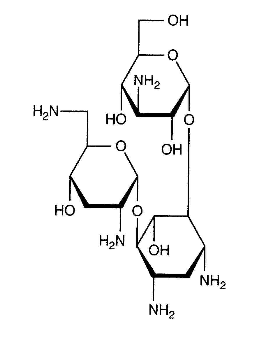
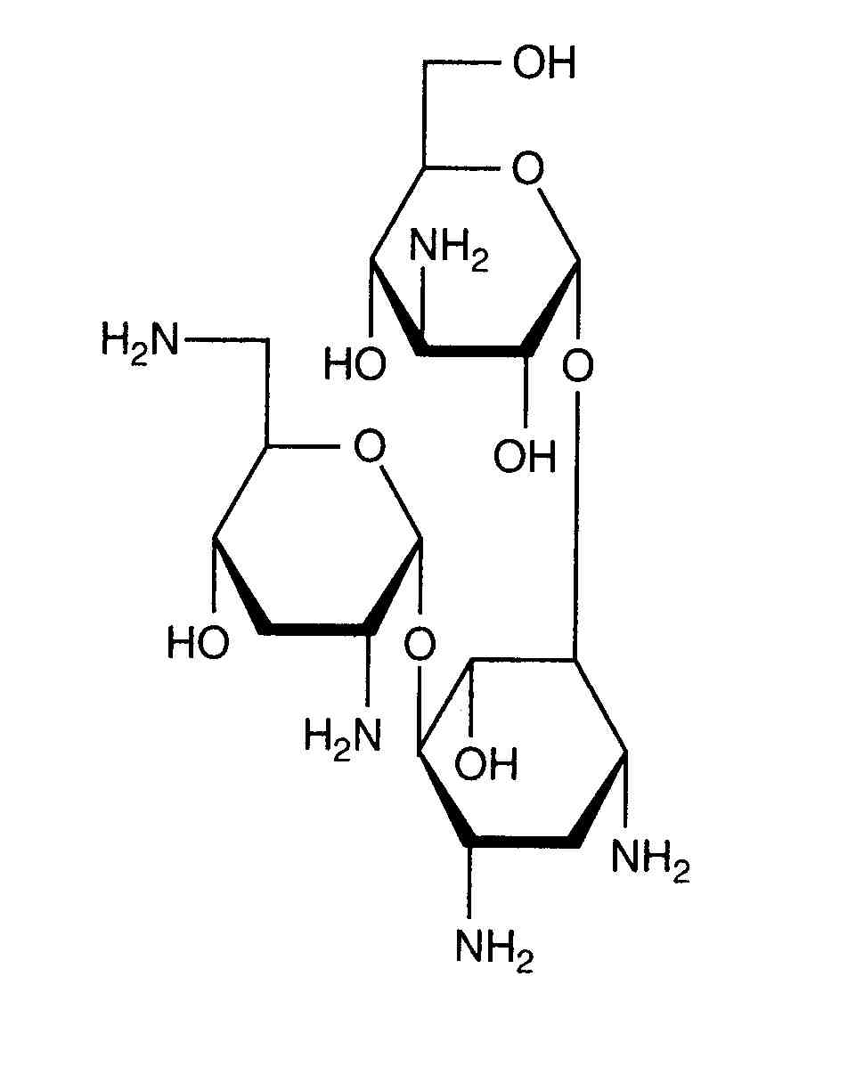
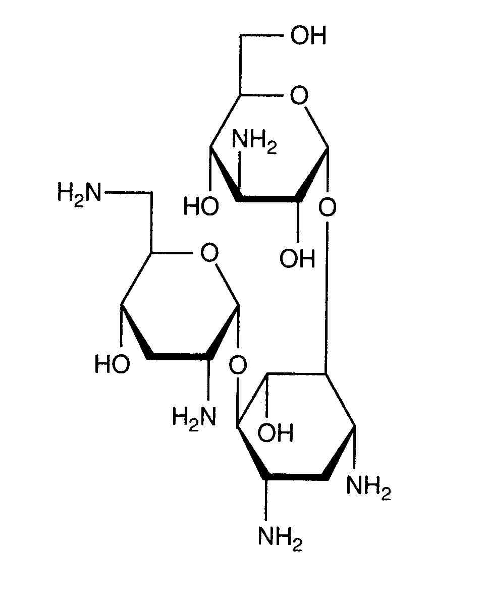
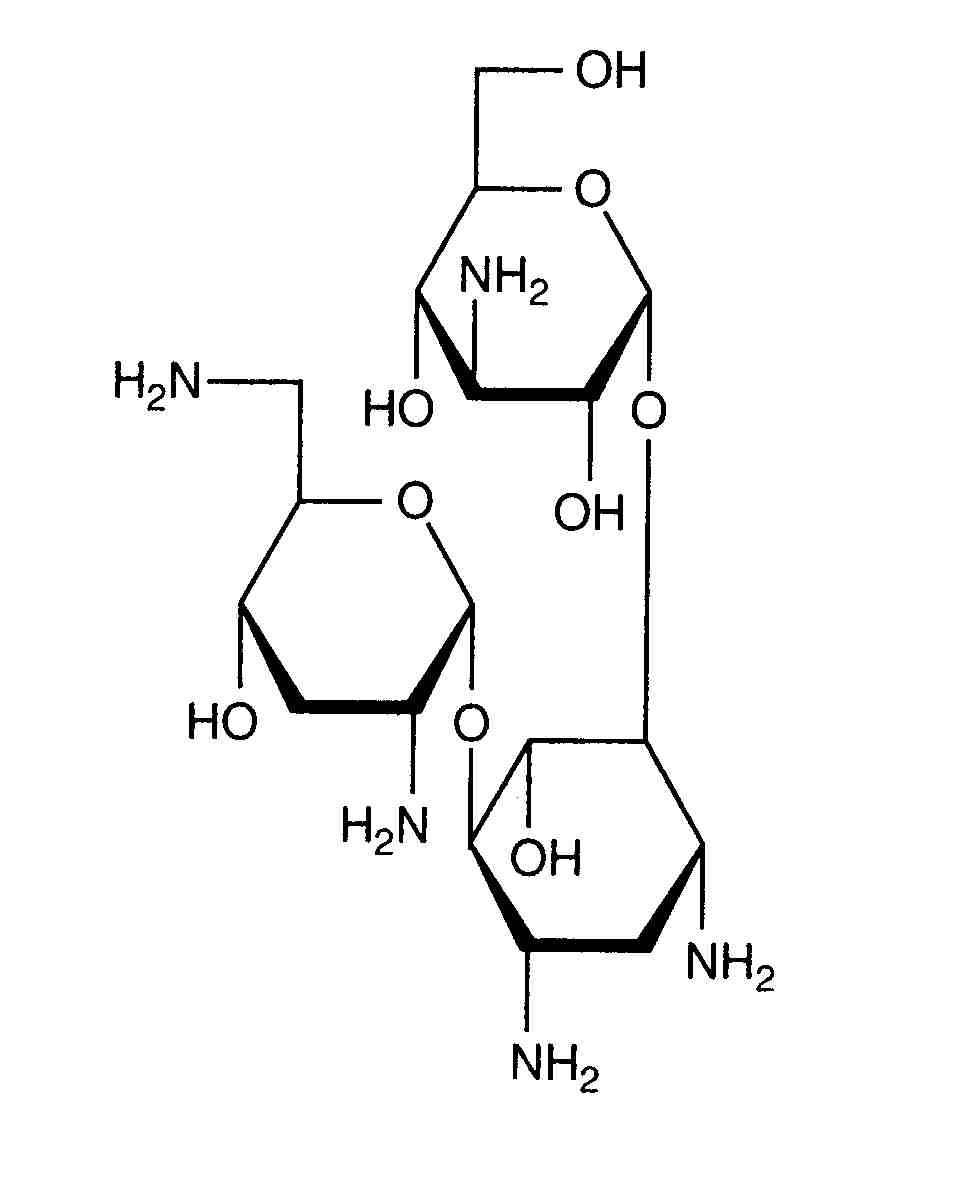
   Chemische Struktur  

Aerosol

Stabilitätbeeinflussende Faktoren   Aerosol   Stabilitätbeeinflussende Faktoren : Tobramycin sulfate        
Keine Daten

  Mentions Légales