Pēdējā atjaunošana :
31/03/2026
Antibiotika   Tobramycin sulfate  
Aerosols
Acu pilieni Injekcija Orāls šķīdums
Stabilitāte farmaceitisko preparātu Maisījuma stabilitāte Stabilitāti ietekmējoši faktori Saderība Literatūras saraksts pdf
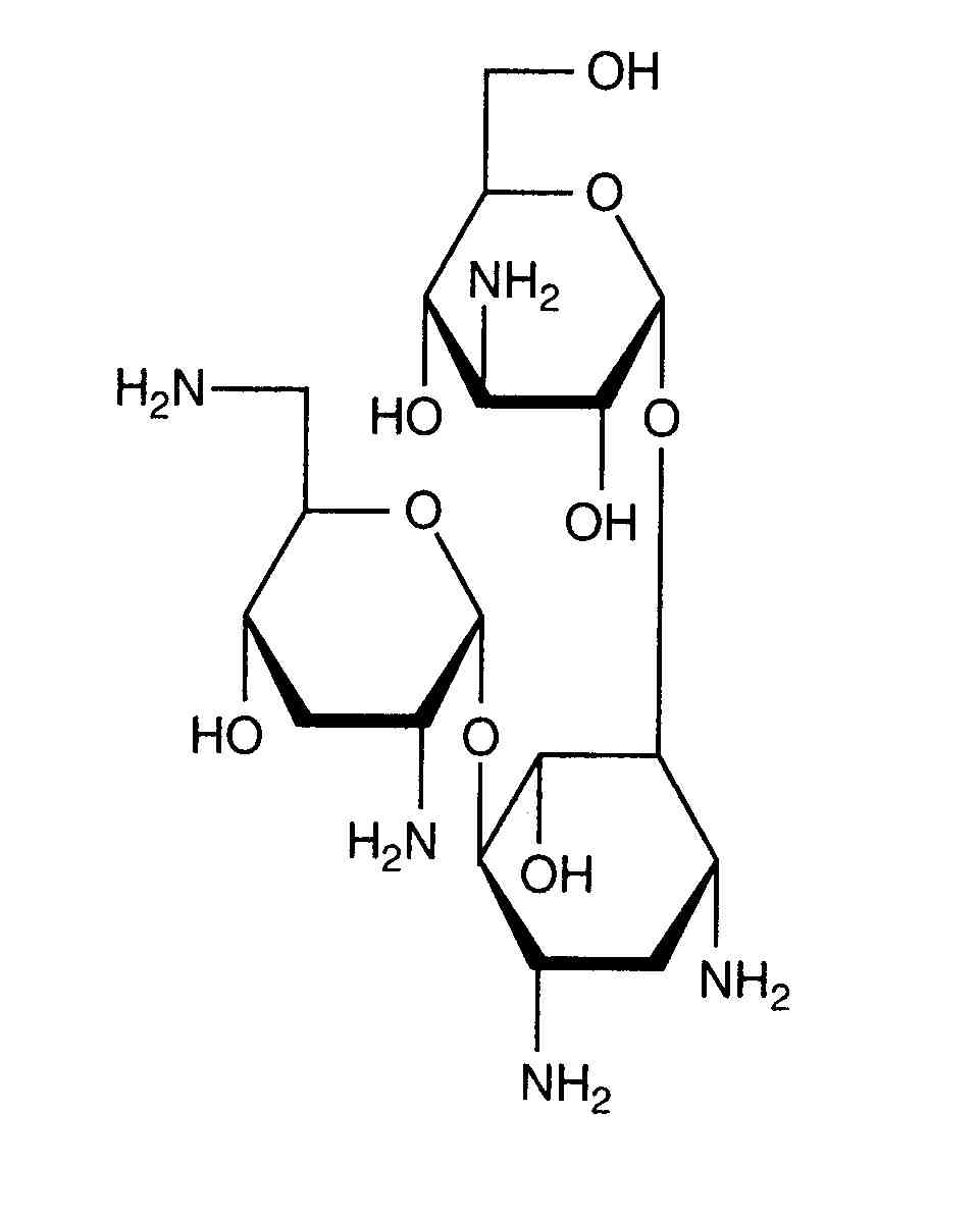
   Ķīmiskā uzbūve   

Aerosols

Stabilitāti ietekmējoši faktori   Aerosols   Stabilitāti ietekmējoši faktori : Tobramycin sulfate        
Nav datu

  Mentions Légales