viimane versioon :
31/03/2026
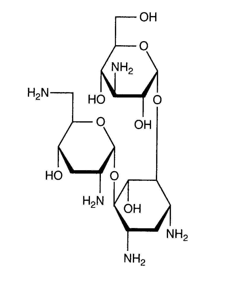
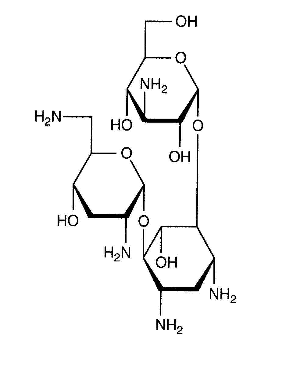
antibiootikum   Tobramycin sulfate  
aerosool
Silmatilgad Süsteravim suukaudne lahus
Stabiilsust ravimpreparaadid Stabiilsust mõjutavad tegurid stabiilsust mõjutavad faktorid Sobimatus Viited pdf
   keemiline struktuur  

aerosool

stabiilsust mõjutavad faktorid   aerosool   stabiilsust mõjutavad faktorid : Tobramycin sulfate        
andmed puuduvad

  Mentions Légales