Poslední aktualizace :
31/03/2026
Antibiotikum   Tobramycin sulfate  
Aerosol
Humbuk injekce Perorální roztok
Stabilita farmaceutických přípravků Stabilita směsí Faktory ovlivňující stabilitu Kompatibilita Odkazy pdf
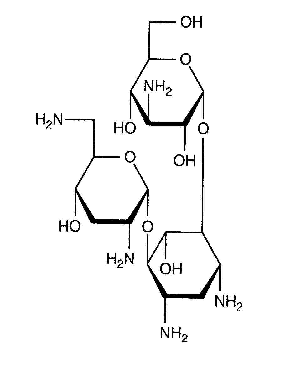
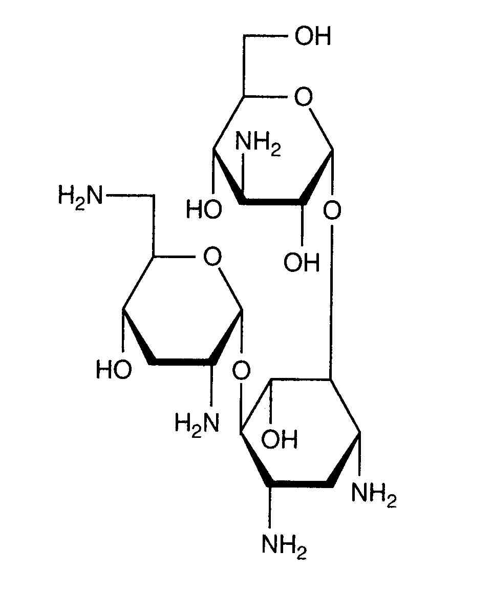
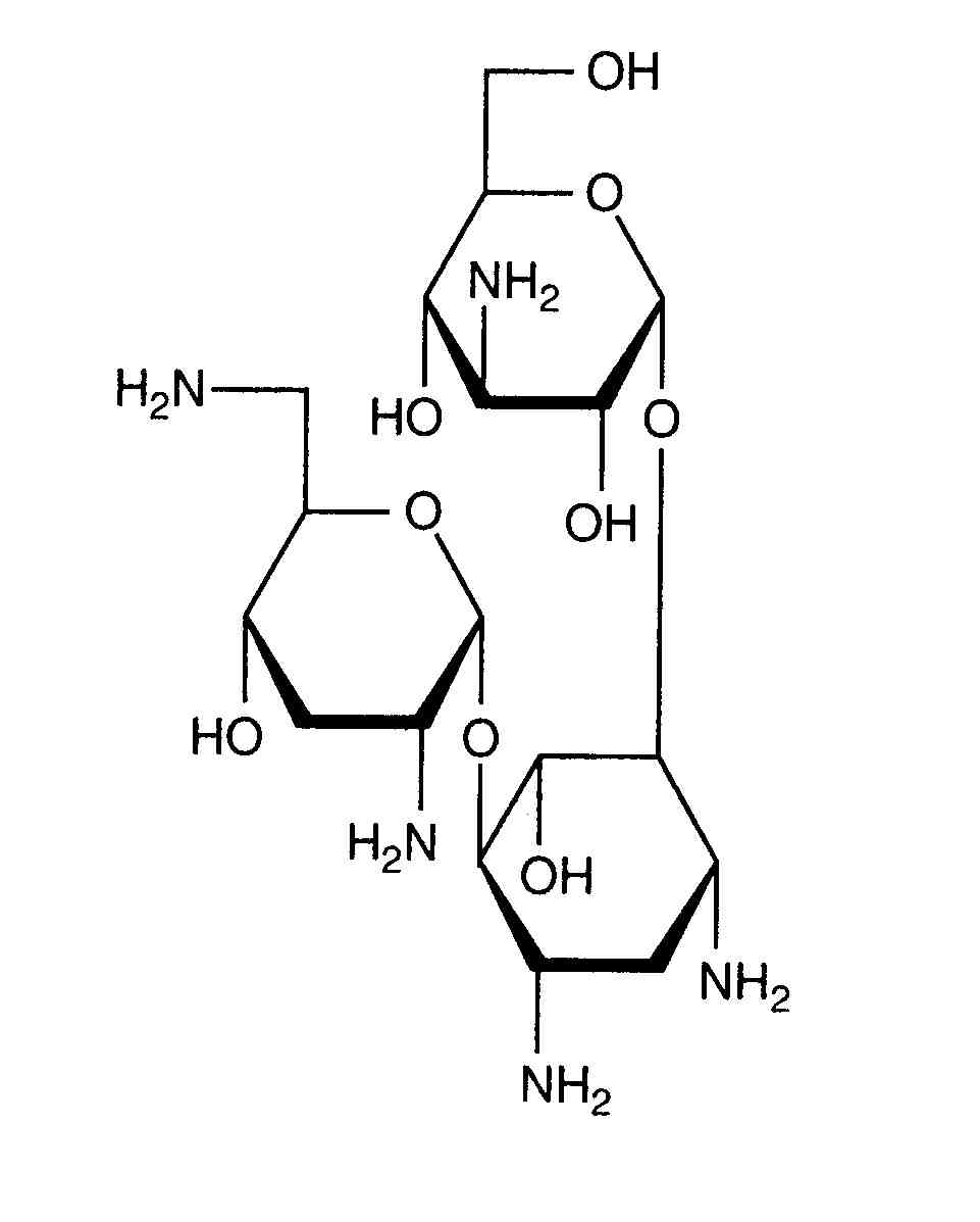
   Chemický vzorec  

Aerosol

Faktory ovlivňující stabilitu   Aerosol   Faktory ovlivňující stabilitu : Tobramycin sulfate        
žádná data

  Mentions Légales