最新更新 :
31/03/2026
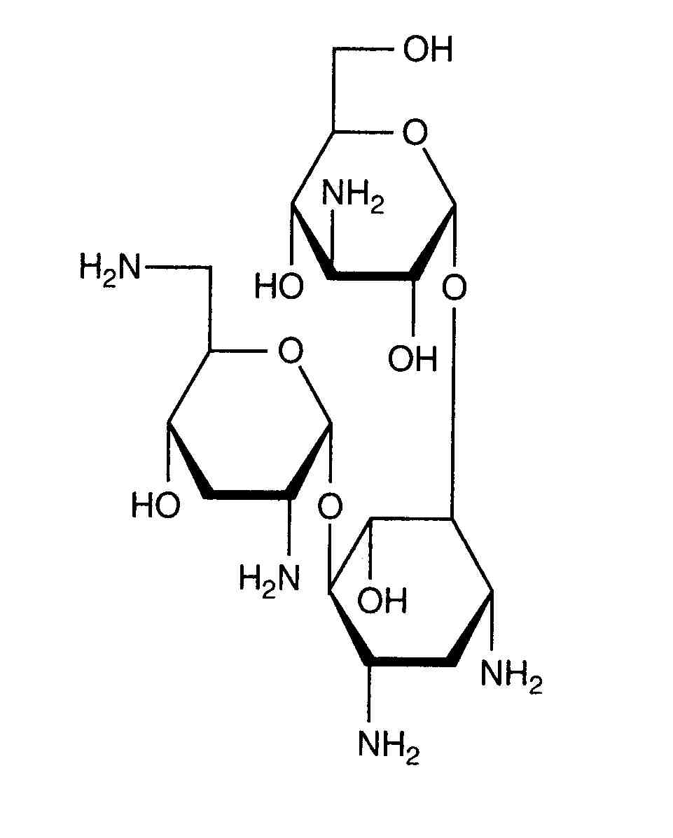
抗菌薬   Tobramycin sulfate  
エアロゾル
注射薬 点眼薬 経口液
調剤時の安定性 混合時の安定性 安定性に影響する因子 互換性 引用文献 PDF
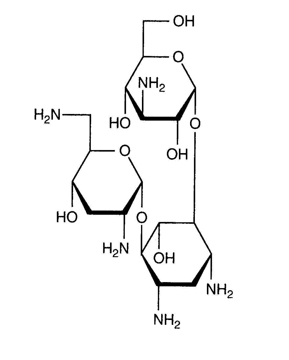
   化学構造  

エアロゾル

安定性に影響する因子   エアロゾル   安定性に影響する因子 : Tobramycin sulfate        
データなし

  Mentions Légales