Posledná aktualizácia :
31/03/2026
antibiotikum   Tobramycin sulfate  
Aerosól
Injekcia Očná instilácia Perorálny roztok
Stabilita farmaceutických prípravkov Stabilita v zmesiach Faktory ovplyvňujúce stabilitu Kompatibility Odkazy na literatúru PDF
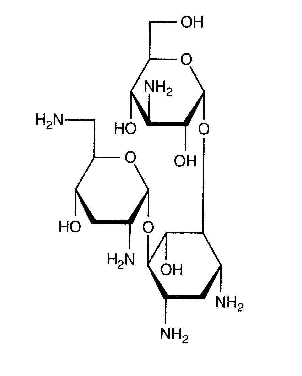
   Chemický vzorec  

Aerosól

Faktory ovplyvňujúce stabilitu   Aerosól   Faktory ovplyvňujúce stabilitu : Tobramycin sulfate        
žiadne údaje

  Mentions Légales