zadnja posodobitev :
31/03/2026
Antibiotik   Tobramycin sulfate  
Aerosol
Brizgalka Kapljice za oči Peroralna raztopina
Stabilnost farmacevtskih preparatov Stabilnost mešanice Faktorji, ki vplivajo na stabilnost Kompatibilnost Viri pdf
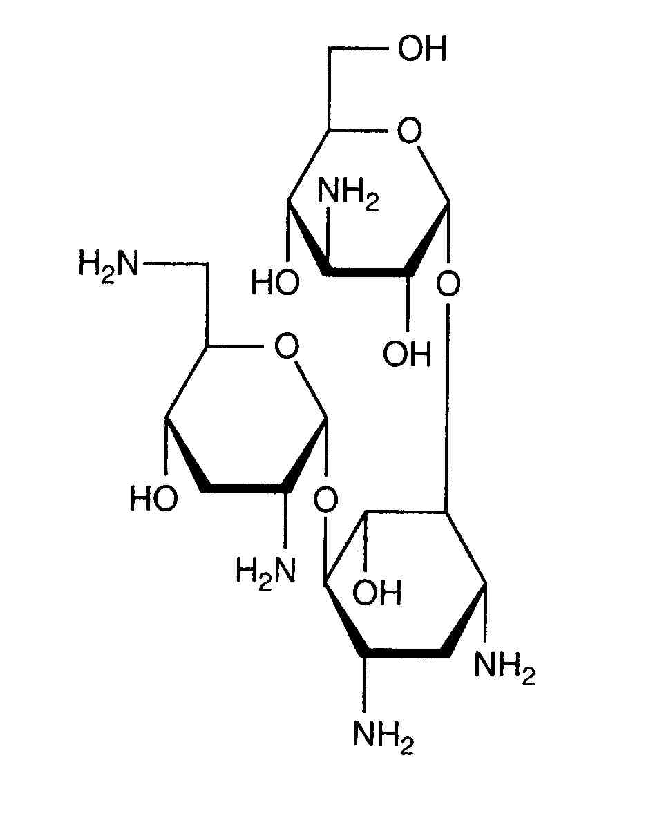
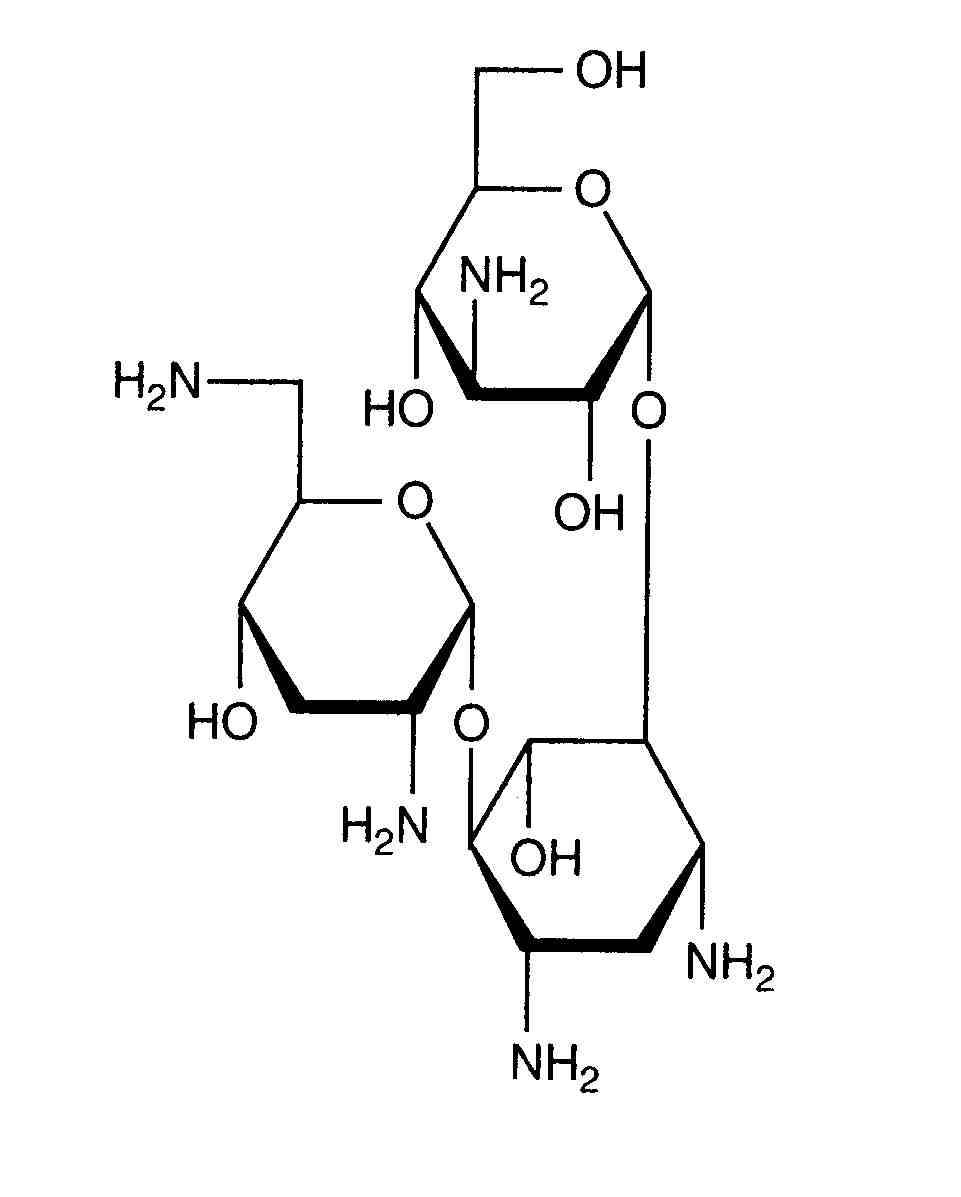
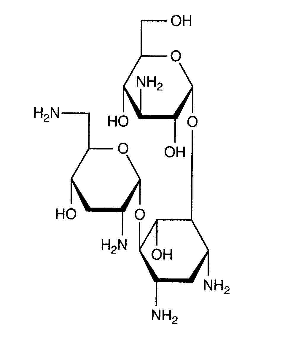
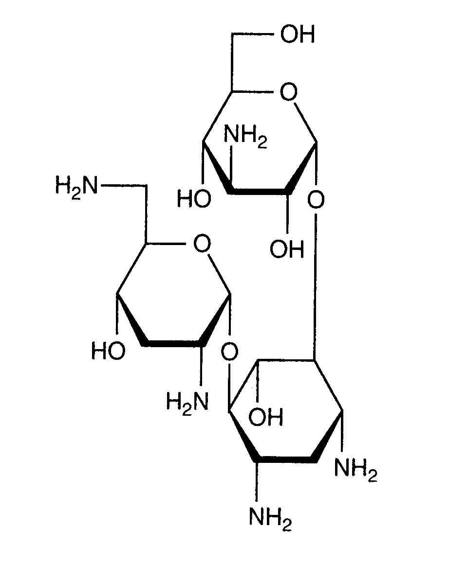
   Kemična formula  

Aerosol

Faktorji, ki vplivajo na stabilnost   Aerosol   Faktorji, ki vplivajo na stabilnost : Tobramycin sulfate        
ni podatka

  Mentions Légales