Laatste update :
12/02/2026
Antibioticum   Tobramycin sulfate  
Aerosol
injecteerbaar geneesmiddel Oogwater Orale Oplossing
Stabiliteit van farmaceutische preparaten Stabiliteit in mengsels Factoren die de stabiliteit beïnvloeden Verenigbaarheden Literatuur pdf
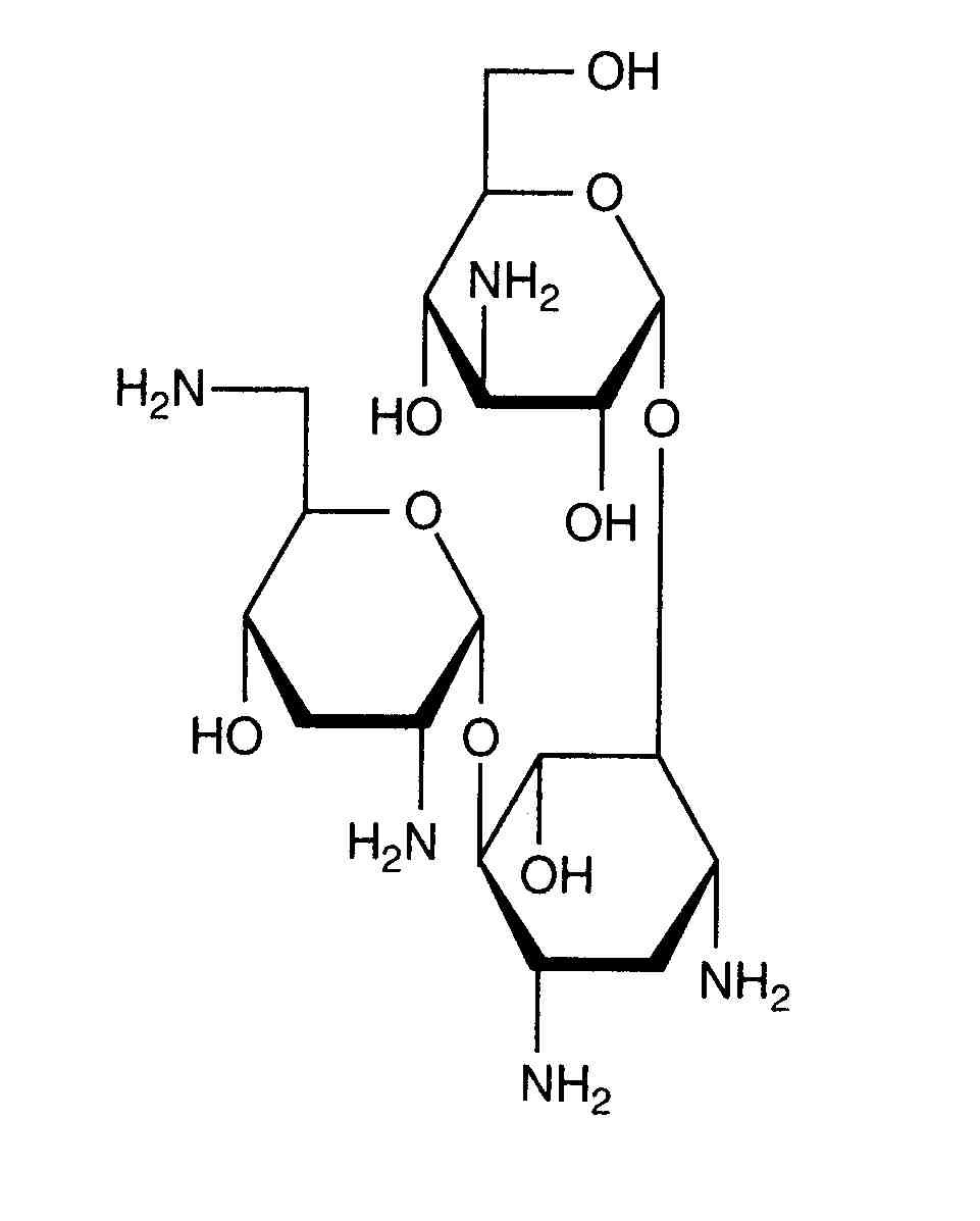
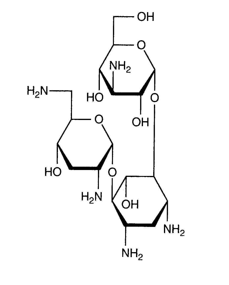
   Molecuulstructuur  

Aerosol
Literatuur   Aerosol   Literatuur : Tobramycin sulfate  
type publicatie
2960 Artikel Gooch MD.
Stability of albuterol and tobramycin when mixed for aerosol administration.
Respiratory Care 1991 ; 36: 1387-1390.
3431 Artikel Law S.
Stability of preservative-free tobramycin in half-normal saline.
Can J Hosp Pharm 2001 ; 54, 3: 214-215.
3440 Artikel Wollstadt A, Krämer I, Kamin W.
Physicochemical compatibility of nebulizable drug admixtures containing colistimethate and tobramycin.
Pharmazie 2013 ; 68: 744-748.
3472 Artikel Krämer I, Schwabe A, Kamin W.
Physikalisch-chemische kompatilibität von Mischinhalationslösungen und suspensionen zur simultanen feuchtinhalationstherapie bei Mukoviszidose Patienten.
Krankenhauspharmazie 2007 ; 28, 5: 170-178.

  Mentions Légales