Dernière mise à jour :
31/03/2026
Antibiotique   Tobramycin sulfate  
Aérosol
Collyre injectable Solution buvable
Stabilité des préparations Stabilité en mélange Facteur influençant la stabilité Compatibilités Bibliographie pdf
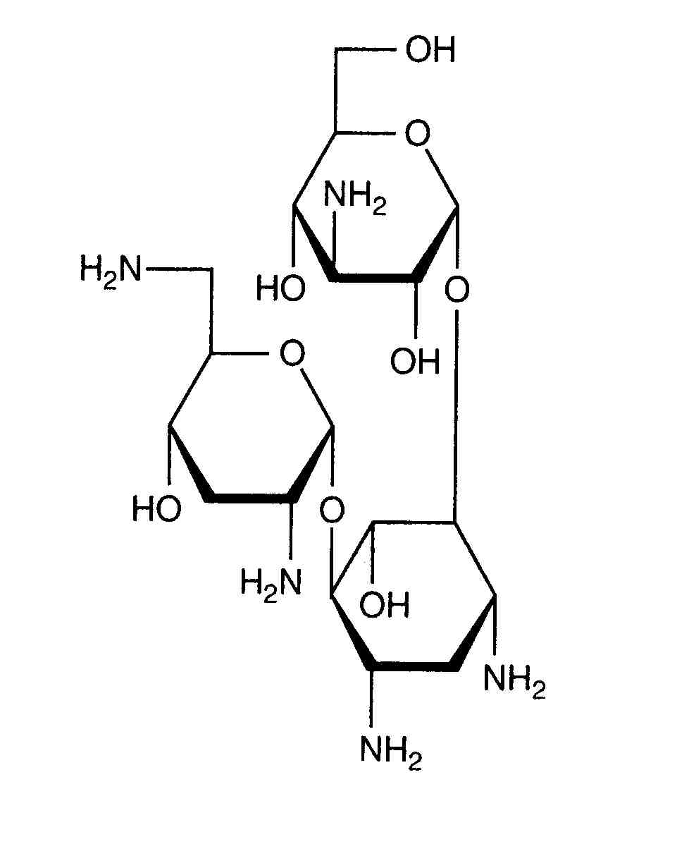
   Structure chimique  

Aérosol

Facteur influençant la stabilité   Aérosol   Facteur influençant la stabilité : Tobramycin sulfate        
Aucune donnée

  Mentions Légales