Siste oppdatering :
31/03/2026
Antibiotika   Tobramycin sulfate  
Aerosol
Injeksjon Mikstur Øyedråper
Stabilitet av farmasøytiske preparater Stabilitet i blandinger Faktorer som påvirker stabiliteten Kompatibilitet Referanser pdf
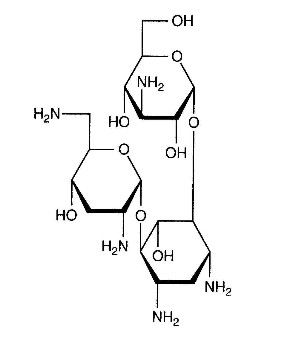
   Kjemisk struktur  

Aerosol

Faktorer som påvirker stabiliteten   Aerosol   Faktorer som påvirker stabiliteten : Tobramycin sulfate        
Ingen opplysninger

  Mentions Légales