Последно актуализиране :
31/03/2026
Антибиотик   Tobramycin sulfate  
Аерозол
Инжекция/Инжекционен Капки за очи Орален разтвор
Стабилност на лекарствени препарати Стабилност на смеси Фактори, повлияващи стабилността Съвместимост Библиография Pdf
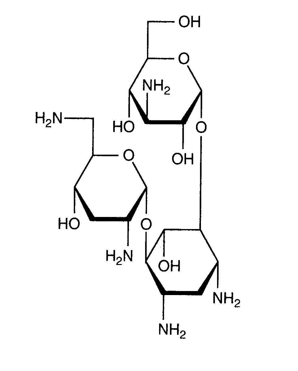
   Химична структура  

Аерозол

Фактори, повлияващи стабилността   Аерозол   Фактори, повлияващи стабилността : Tobramycin sulfate        
Няма данни

  Mentions Légales