Senaste uppdateringen :
31/03/2026
Antibiotikum   Tobramycin sulfate  
Aerosol
injektion ögondroppar Oral lösning
Stabilitet av läkemedel Stabilitet i blandningar Faktorer som påverkar stabiliteten Kompatibilitet Hänvisningar pdf
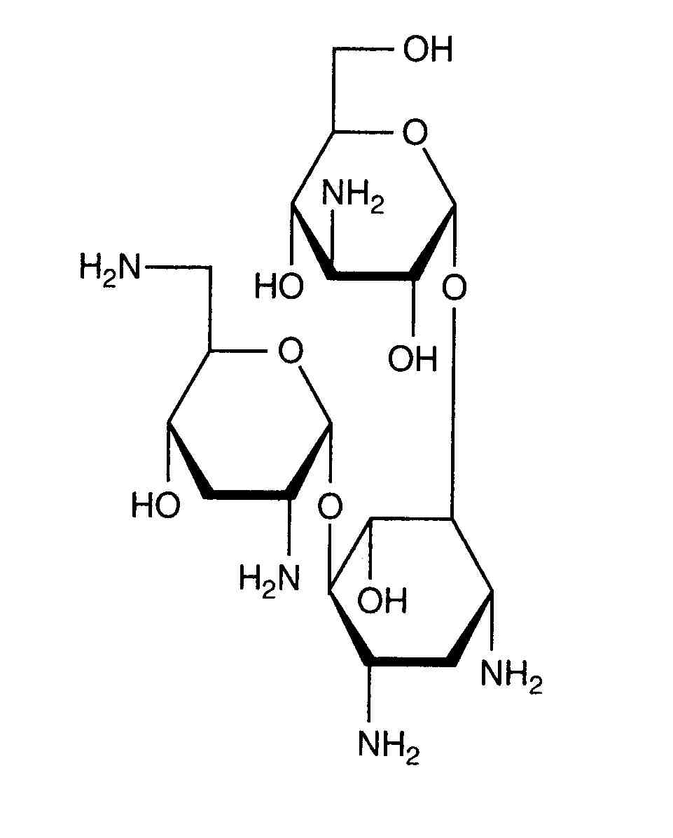
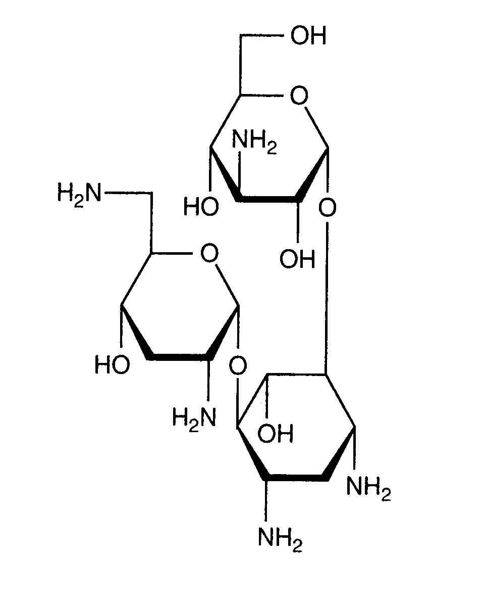
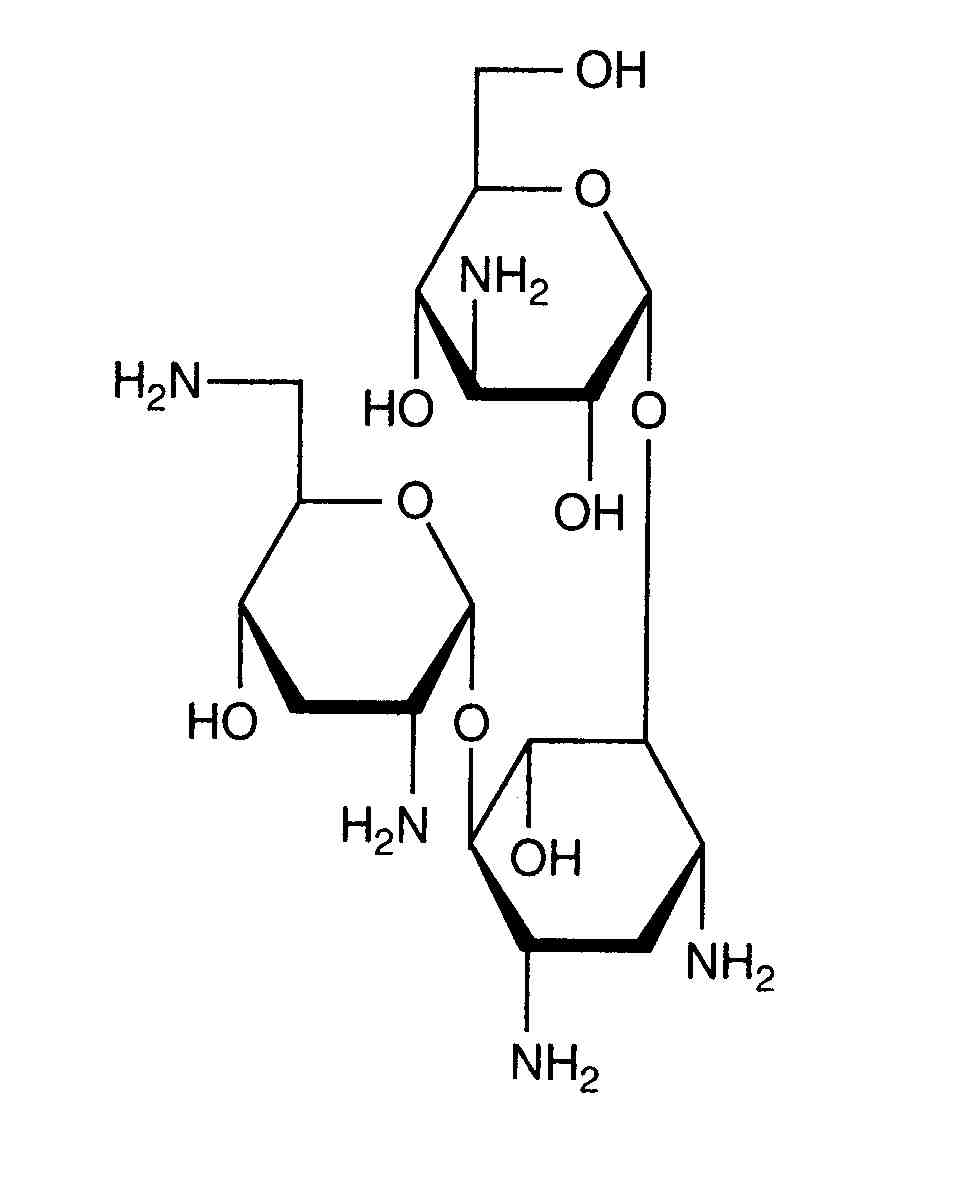
   Molekylstruktur  

Aerosol

Faktorer som påverkar stabiliteten   Aerosol   Faktorer som påverkar stabiliteten : Tobramycin sulfate        
Ingen uppgift

  Mentions Légales