Viimeisin päivitys :
31/03/2026
Antibiootit   Tobramycin sulfate  
Aerosoli
Injektioneste Oraaliliuos Silmätipat
Vakaus lääkevalmisteen Stabilius seoksissa Tekijät, jotka vaikuttavat stabiliuteen Yhteensopivuus Viitteet pdf
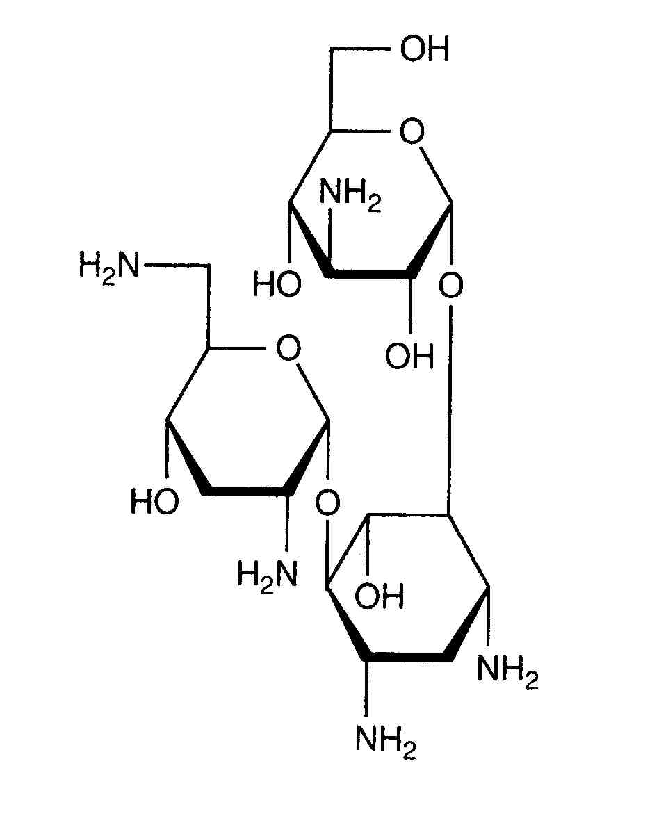
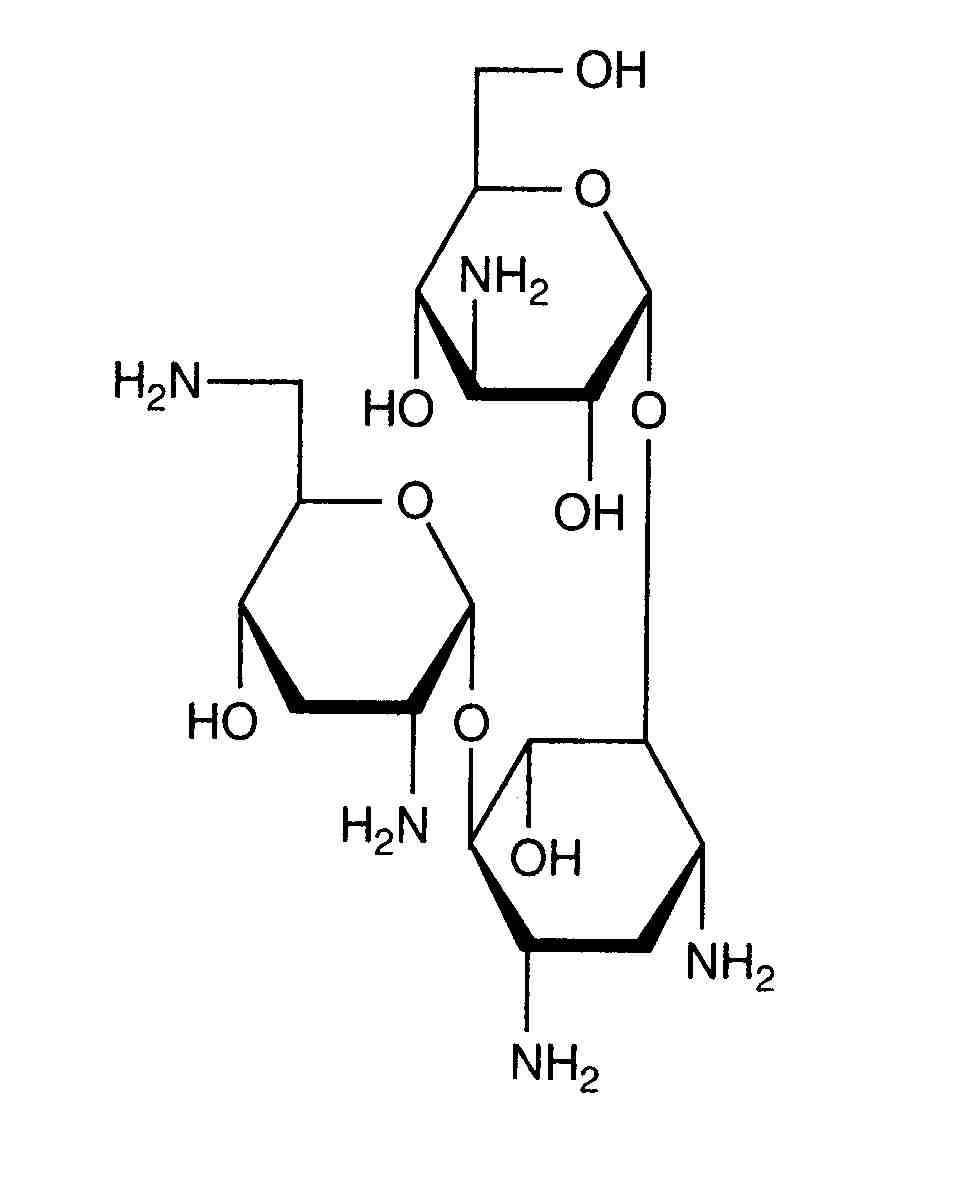
   Kemiallinen rakenne  

Aerosoli

Tekijät, jotka vaikuttavat stabiliuteen   Aerosoli   Tekijät, jotka vaikuttavat stabiliuteen : Tobramycin sulfate        
ei tietoa

  Mentions Légales