Última actualização :
31/03/2026
antibiótico   Tobramycin sulfate  
aerossol
injetável solução oftálmica Solução Oral
Estabilidade de preparações farmacêuticas Estabilidade em misturas Factores que afectam a sua estabilidade Compatibilidade Bibliografía pdf
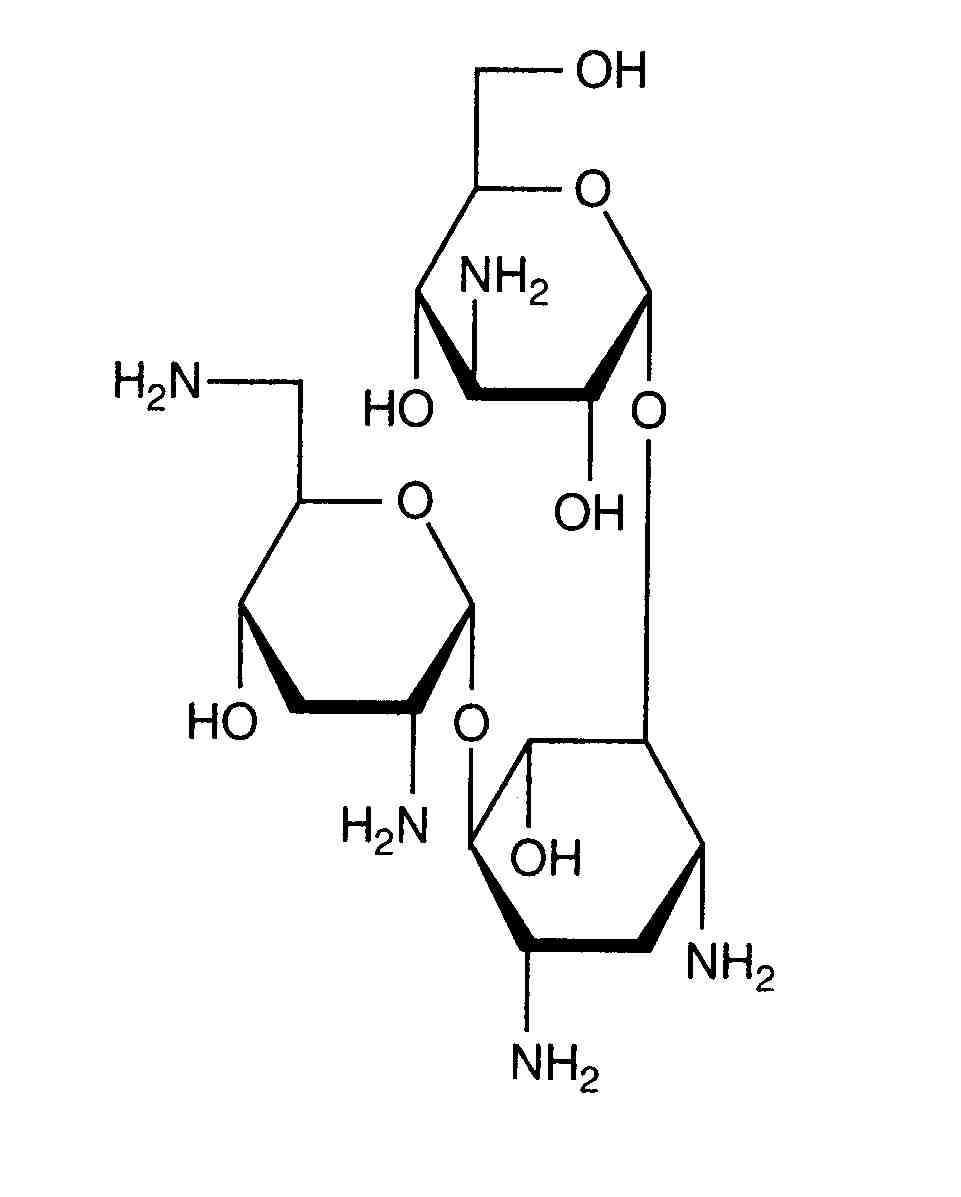
   estrutura química  

aerossol

Factores que afectam a sua estabilidade   aerossol   Factores que afectam a sua estabilidade : Tobramycin sulfate        
Ausência de dados

  Mentions Légales