Poslední aktualizace :
05/12/2025
Protiplísňový přípravek   Amphotericin B  
injekce
Aerosol Humbuk kloktadlo Perorální roztok
Stabilita roztoků Stabilita směsí Faktory ovlivňující stabilitu Kompatibilita Způsoby aplikace Odkazy pdf
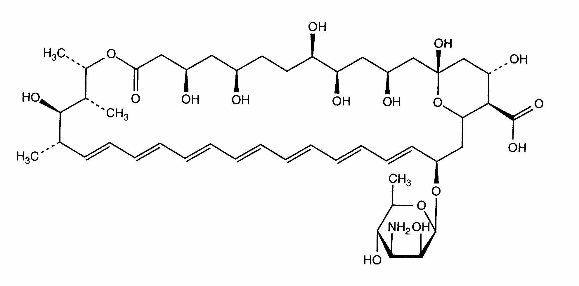
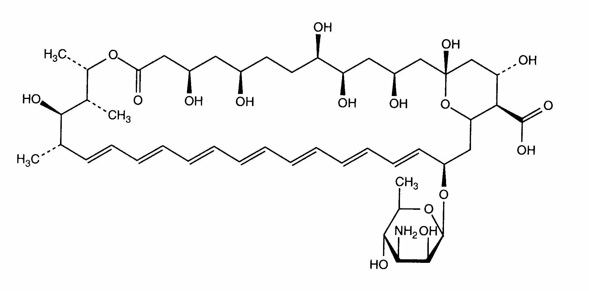
   Chemický vzorec  

Obchodní název   Obchodní název     

Trade names are indicative and excipients composition can be different depending on the country and manufacturers

Fungizone Dánsko, Finsko, Francie, Indie, Írán, Irsko, Itálie, Kanada, Kolumbie, Malajsie, MaÔarsko, Maroko, NÏmecko, Nizozemsko, nový Zéland, Portugalsko, Švédsko, Švýcarsko, Tunisko, Turecko, USA, Velká Británie, Venezuela, ÿecko
Způsoby aplikace   Způsoby aplikace :Amphotericin B     
Voie
Intravenózní infúze
intrathekálně
intravezikálně
intrapleurálně
intraperitoneálně
intravitreálně
intraartikulárně
Podspojivkový

  Mentions Légales