Son güncelleme :
18/03/2026
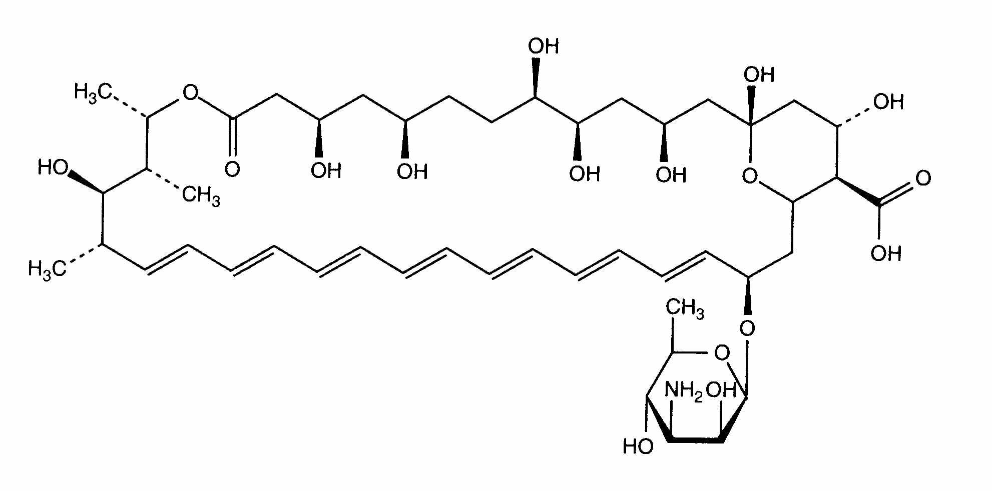
Antifungal   Amphotericin B  
Enjeksiyon
Aerosol Gargara Göz damlası Oral solüsyon / oral çözelti
Çözeltilerin stabilitesi Karışımlardaki stabilitesi Stabiliteyi etkileyen faktörler Uyumluluk Uygulama yöntemi Kaynaklar pdf
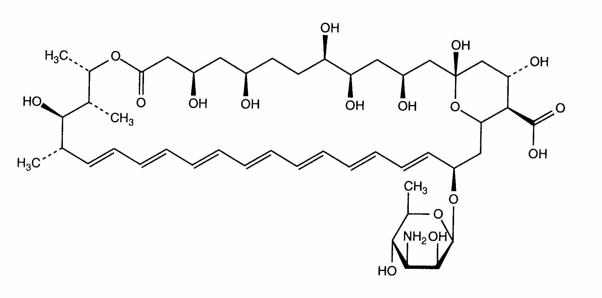
   Kimyasal yapı   

Ticari isim   Ticari isim     

Trade names are indicative and excipients composition can be different depending on the country and manufacturers

Fungizone Almanya, Amerika Birleşik Devletleri, Büyük Britanya, Danimarka, Fas, Finlandiya, Fransa, Hindistan, Hollanda, İran, İrlanda, İsveç, İsviçre, İtalya, Kanada, Kolombiya, Macaristan, Malezya, Portekiz, Tunus, Türkiye, Venezuela, yeni Zelanda, Yunanistan
Uygulama yöntemi   Uygulama yöntemi :Amphotericin B     
Voie
İntravenöz infüzyon
İntratekal
İntravezikal
İntraplevral
İntraperitonel
İntravitröz
İntraartiküler
Subkonjunktival

  Mentions Légales