Последнее обновление :
27/11/2025
Противогрибковое средство   Amphotericin B  
Инъекция
Аэрозоль Глазные капли Ополаскиватель для полости рта Раствор для перорального приёма
Стабильность растворов Стабильность смесей Факторы, которые влияют на стабильность Совместимость Способы введения Библиография pdf
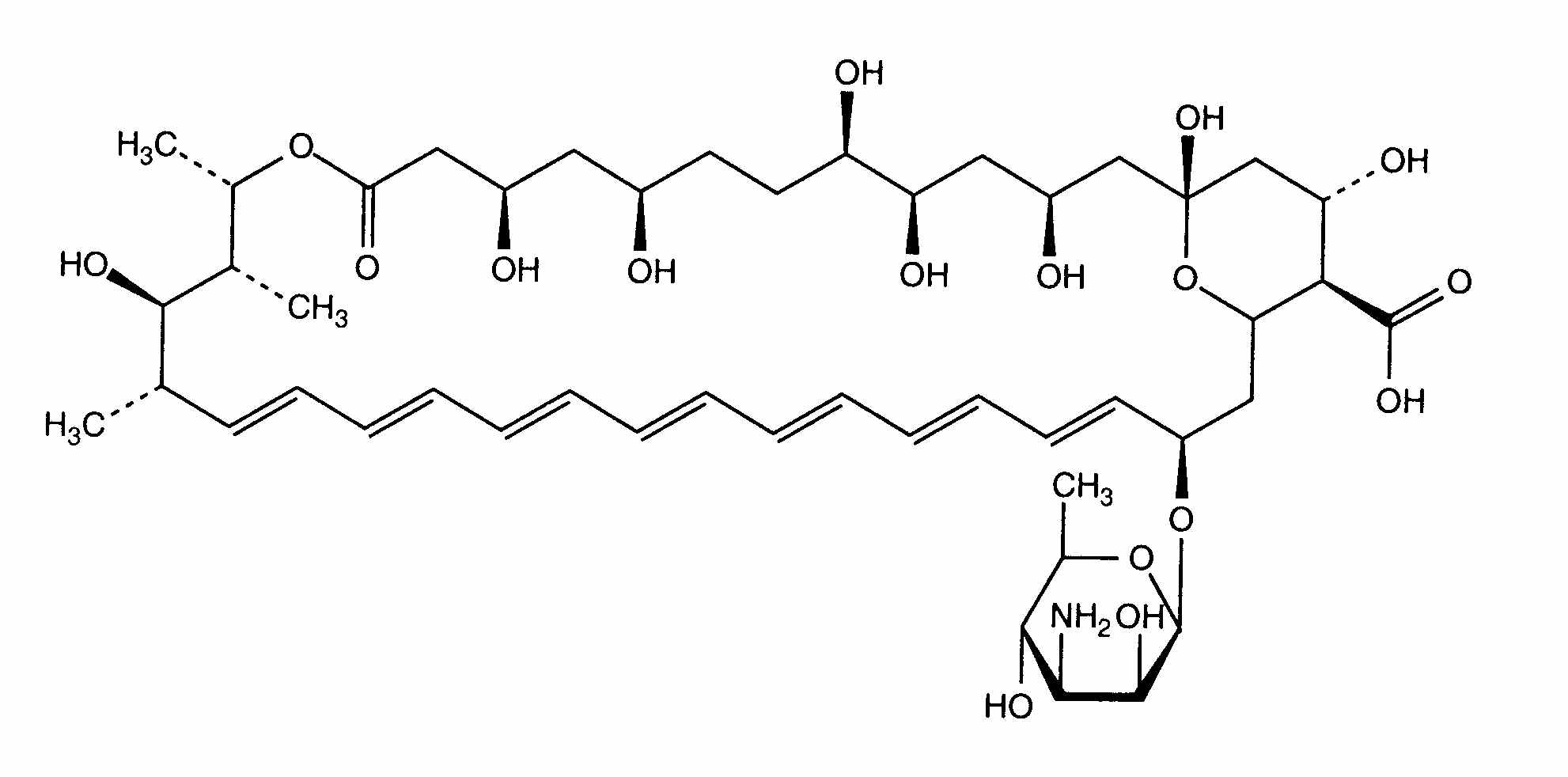
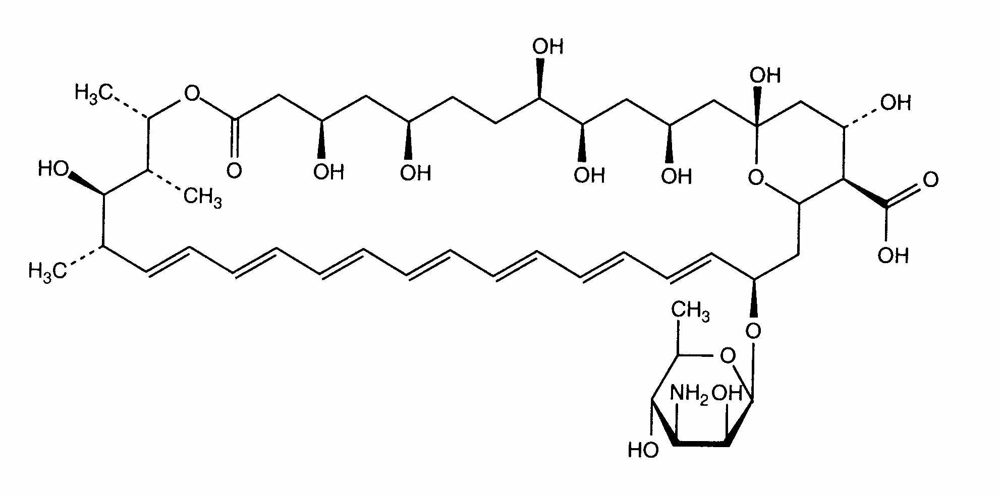
   Химическая структура  

Товарное название   Товарное название     

Trade names are indicative and excipients composition can be different depending on the country and manufacturers

Fungizone Великобритания, Венгрия, Венесуэла, Германия, Голландия, Греция, Дания, Индия, Иран, Ирландия, Италия, Канада, Колумбия, Малайзия, Марокко, новая Зеландия, Португалия, Соединённые Штаты Америки, Тунис, Турция, Финляндия, Франция, Швейцария, Швеция
Способы введения   Способы введения :Amphotericin B     
Voie
Интравенная, внутривенная инфузия
Интратекальный, подоболочный,  интратека
Внутрипузырный
Интраплевральный, внутриплевральный, внутриплевральная инъекция
Интраперитонеальный
Инъекция в стекловидное тело
Интрасуставный
Инъекция под конъюнктиву

  Mentions Légales