Viimeisin päivitys :
27/11/2025
Sienilääkkeet   Amphotericin B  
Injektioneste
Aerosoli Oraaliliuos Silmätipat Suuvesi
Stabilius liuoksessa Stabilius seoksissa Tekijät, jotka vaikuttavat stabiliuteen Yhteensopivuus Antotapa Viitteet pdf
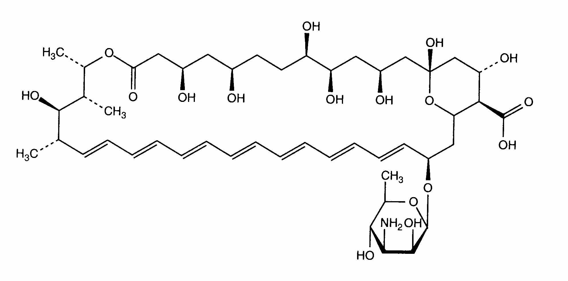
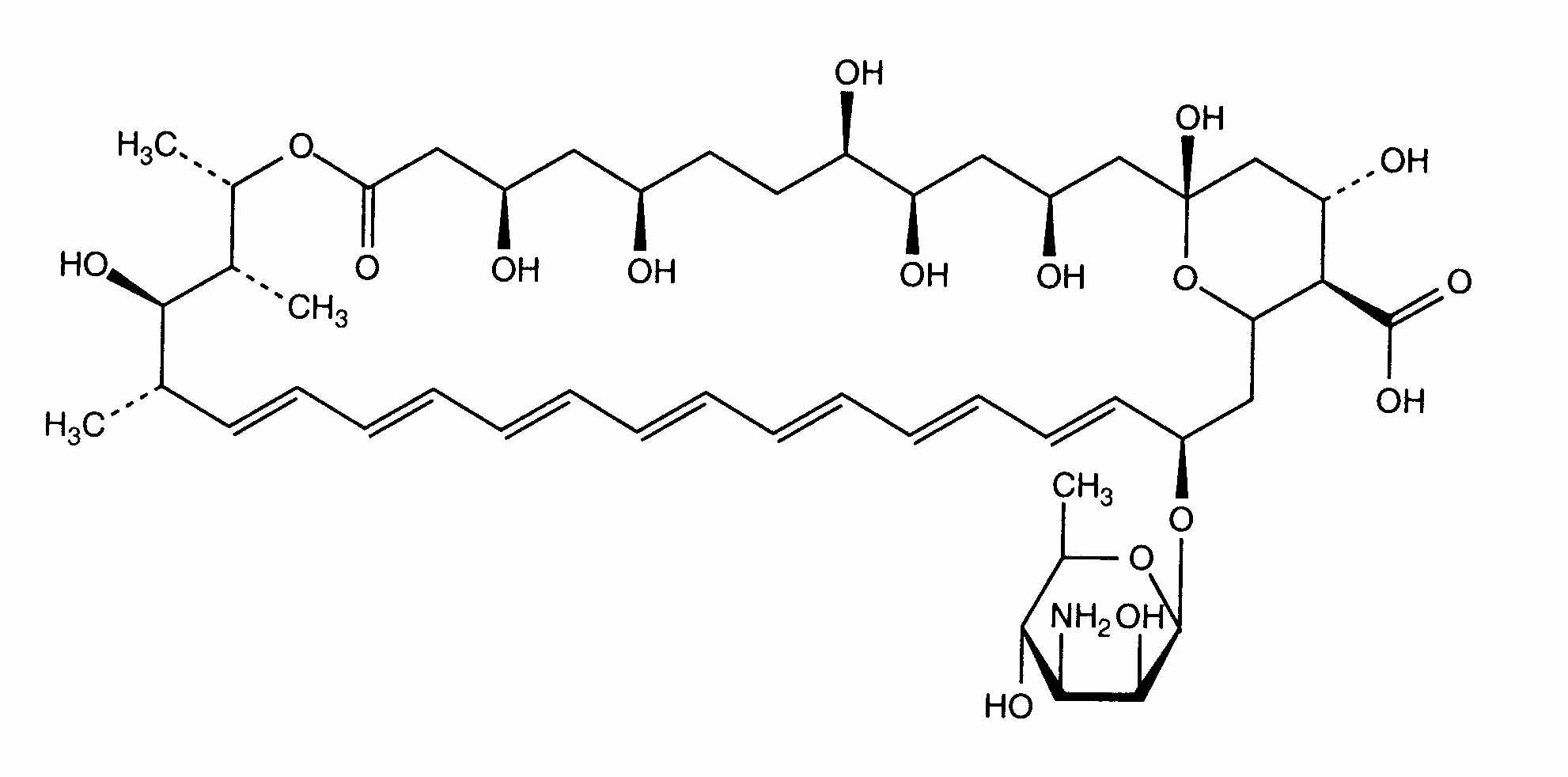
   Kemiallinen rakenne  

Kauppanimi   Kauppanimi     

Trade names are indicative and excipients composition can be different depending on the country and manufacturers

Fungizone Hollanti, Intia, Iran, Irlanti, Iso-Britannia, Italia, Kanada, Kolumbia, Kreikka, Malesia, Marokko, New Zealand, Portugali, Ranska, Ruotsi, Saksa, Suomi, Sveitsi, Tanska, Tunisia, Turkki, Unkari, Venezuela, Yhdysvallat
Antotapa   Antotapa :Amphotericin B     
Voie
Intravenoosi-infuusio
Intratekaalinen
Intravesikaalinen
Intrapleuraalinen
Intraperitoneaalinen
Intravitreaalinen
Intra-artikulaarinen
Subkonjunktivaalinen

  Mentions Légales