Zadnji put ažurirano :
27/11/2025
antifungicid   Amphotericin B  
injekcija
aerosol kapi za oko oralna otopina  otopina za ispiranje usne šupljine
Stabilizacija rješenja Stabilnost mješavine Stabilizacijski faktor Kompatibilnosti način davanja lijeka Bibliografija pdf
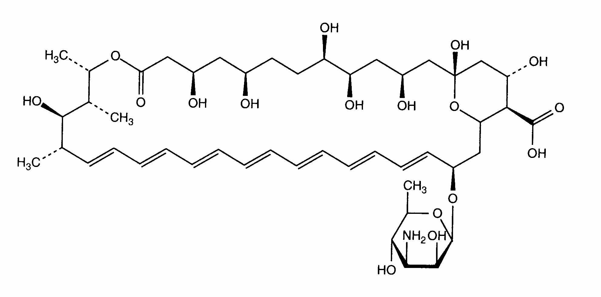
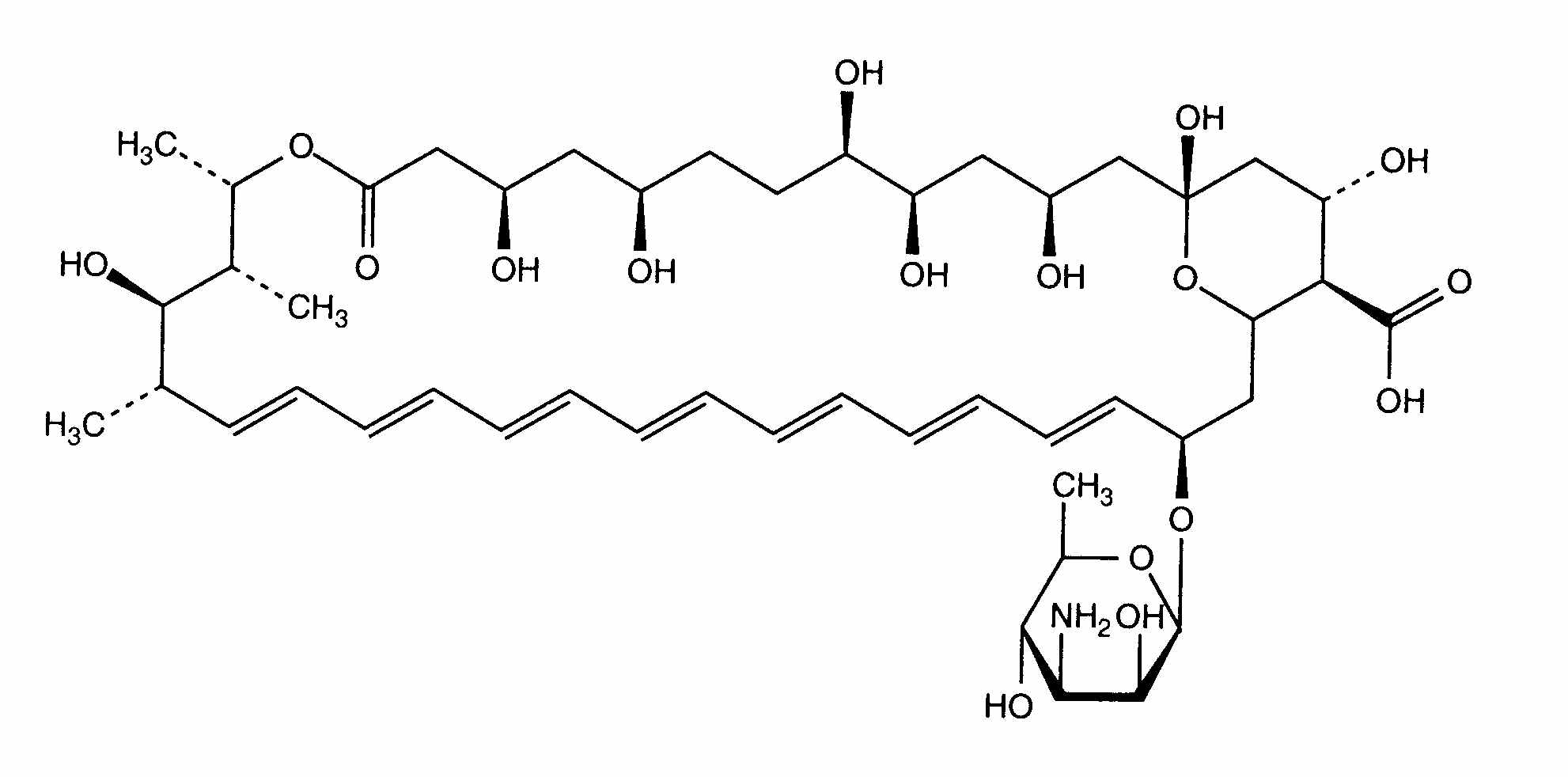
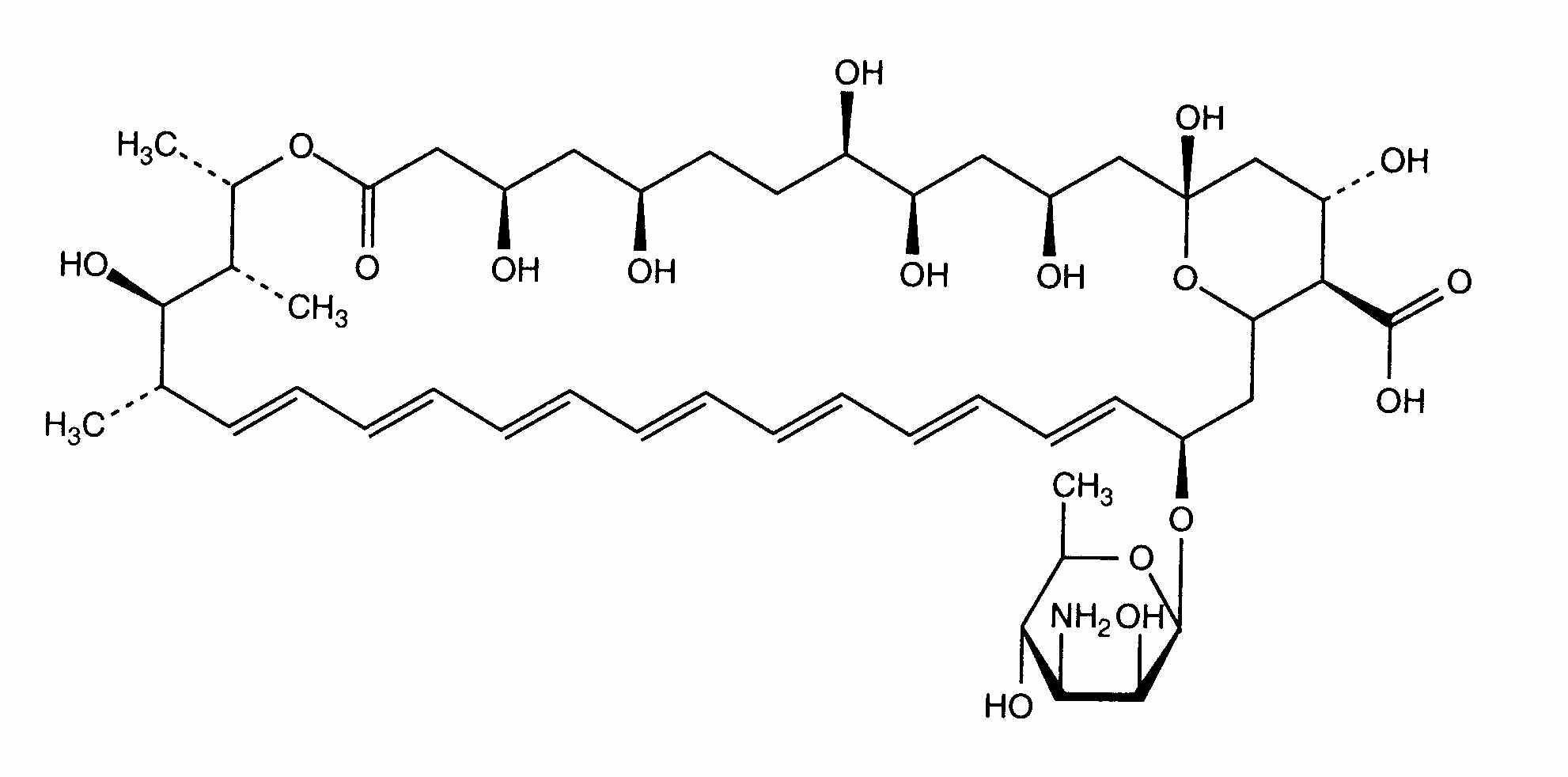
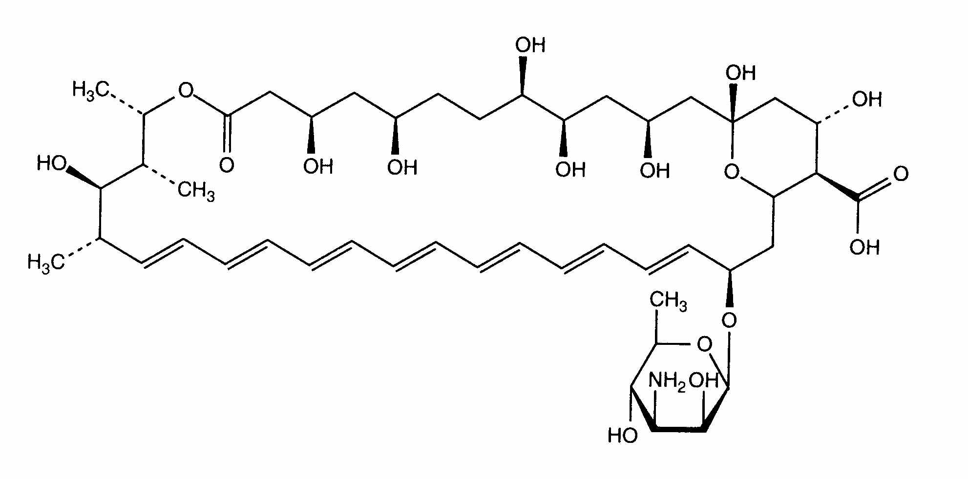
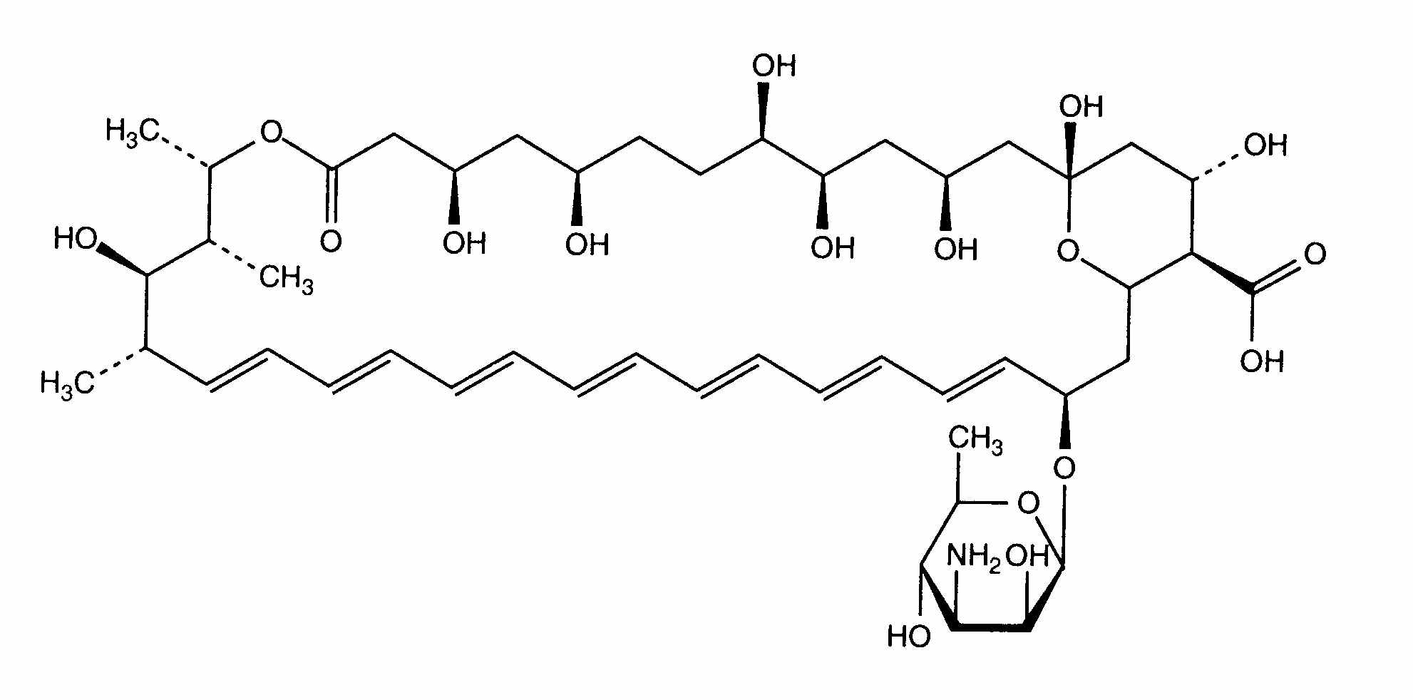
   Kemijska struktura  

Nekomercijalni   Nekomercijalni     

Zaštićeni nazivi su indikativni i sastav ekscipijensa može biti različit ovisno o državi i laboratorijima

Fungizone Indija, Danska, Finska, Francuska, Grčka, Iran, Irska, Italija, Kanada, Kolumbija, Madžarska, Malezija, Maroko, Nizozemska, Njemačka, novi Zeland, Portugal, S A D, Švedska, Švicarska, Tunis, Turska, Velika Britanija, Venecuela
način davanja lijeka   način davanja lijeka :Amphotericin B     
Voie
intravenozna infuzija
intratekalni
intravezikalno
intrapleuralni
intraperitonealni
intravitralno
intraartikularni
subkonkonjunktivan

  Mentions Légales