Siste oppdatering :
27/11/2025
Fungicid   Amphotericin B  
Injeksjon
Aerosol Mikstur Munnvann Øyedråper
Oppløsningsstabilitet Stabilitet i blandinger Faktorer som påvirker stabiliteten Kompatibilitet Administrasjonsmåte Referanser pdf
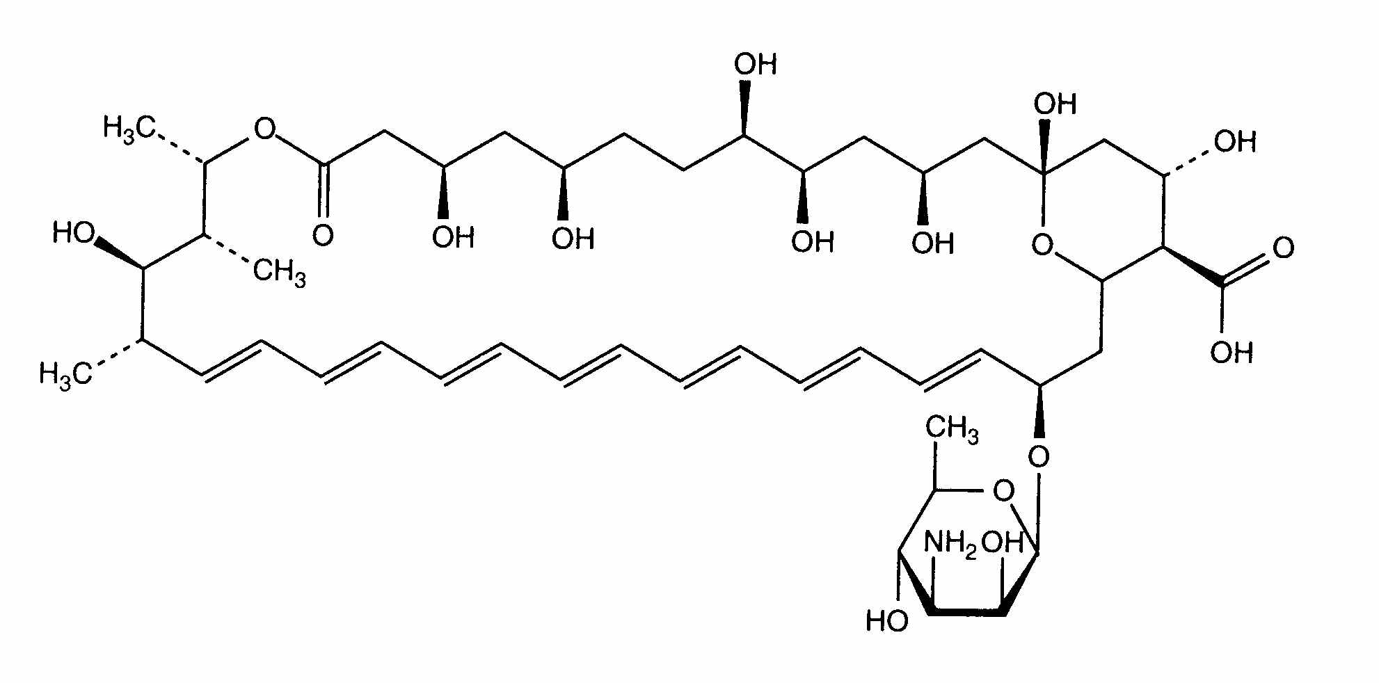
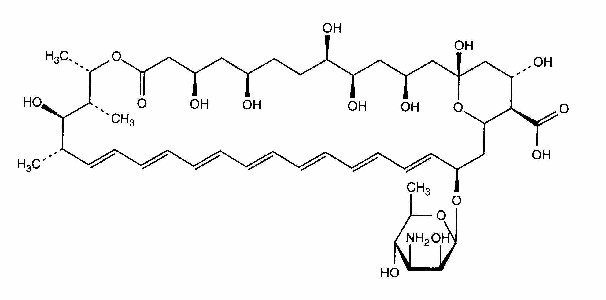
   Kjemisk struktur  

Handelsnavn   Handelsnavn     

Handelsnavn er veiledende og sammensetning av hjelpestoffer kan være forskjellig avhengig av land og produsent

Fungizone Canada, Colombia, Danmark, Finland, Frankrike, Hellas, India, Iran, Irland, Italia, Malaysia, Marokko, Nederland, New Zealand, Portugal, Storbritannia, Sveits, Sverige, Tunisia, Tyrkia, Tyskland, Ungarn, USA, Venezuela
Administrasjonsmåte   Administrasjonsmåte :Amphotericin B     
Voie
Intravenøs infusjon
Intratekal
Intravesikal
Intrapleural
Intraperitoneal
Intravitral
Intraartikulær
Subkonjunktival

  Mentions Légales