Cập nhật lần cuối :
27/11/2025
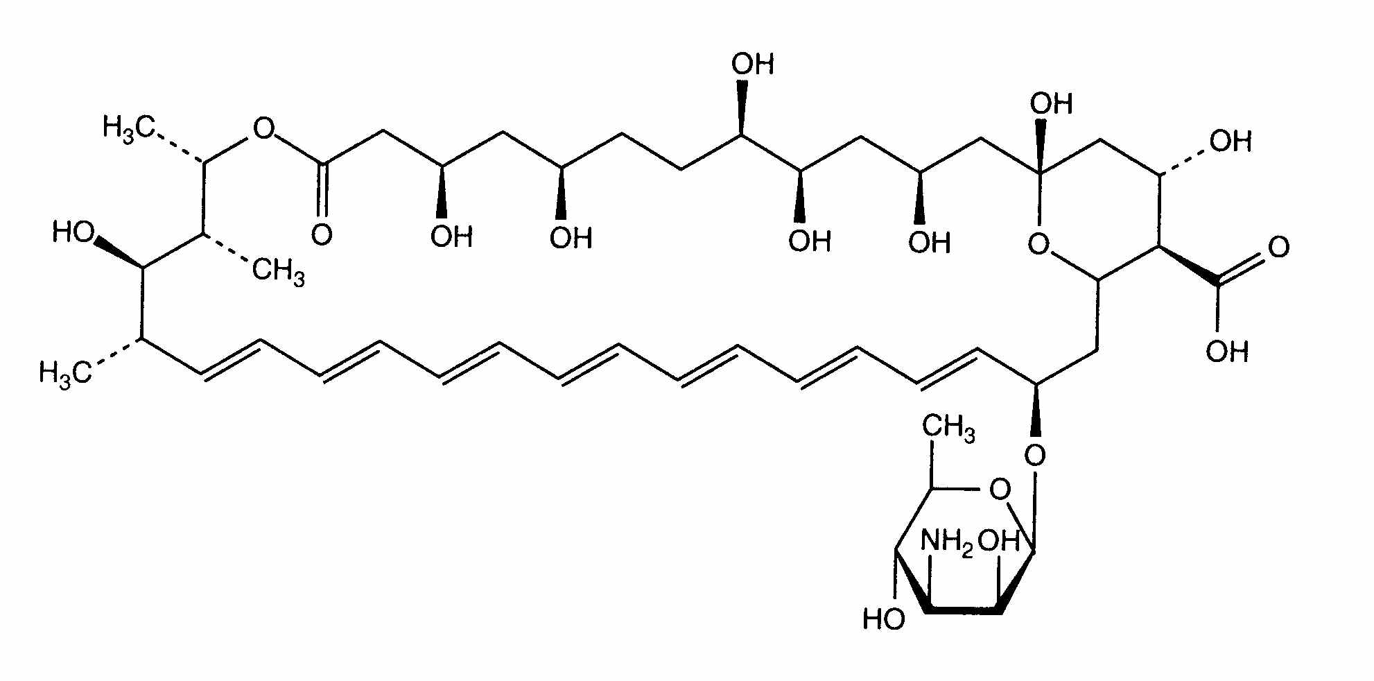
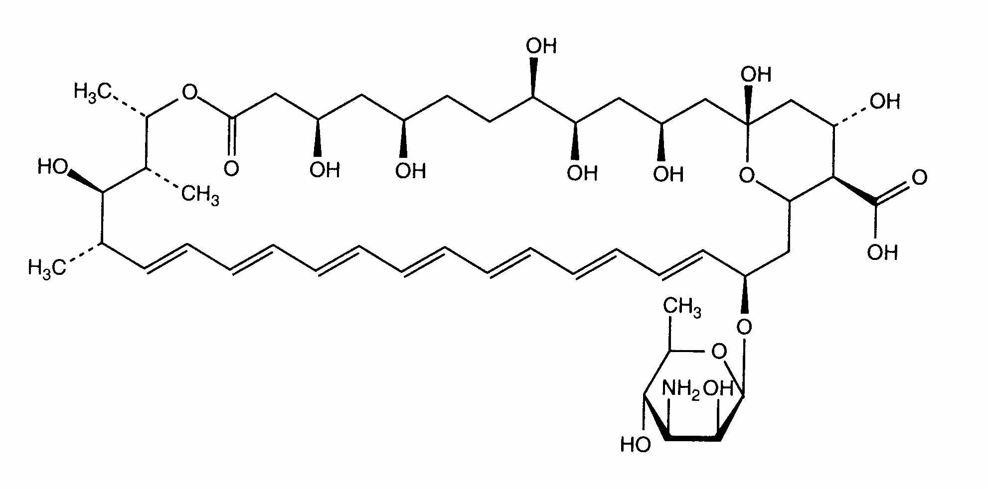
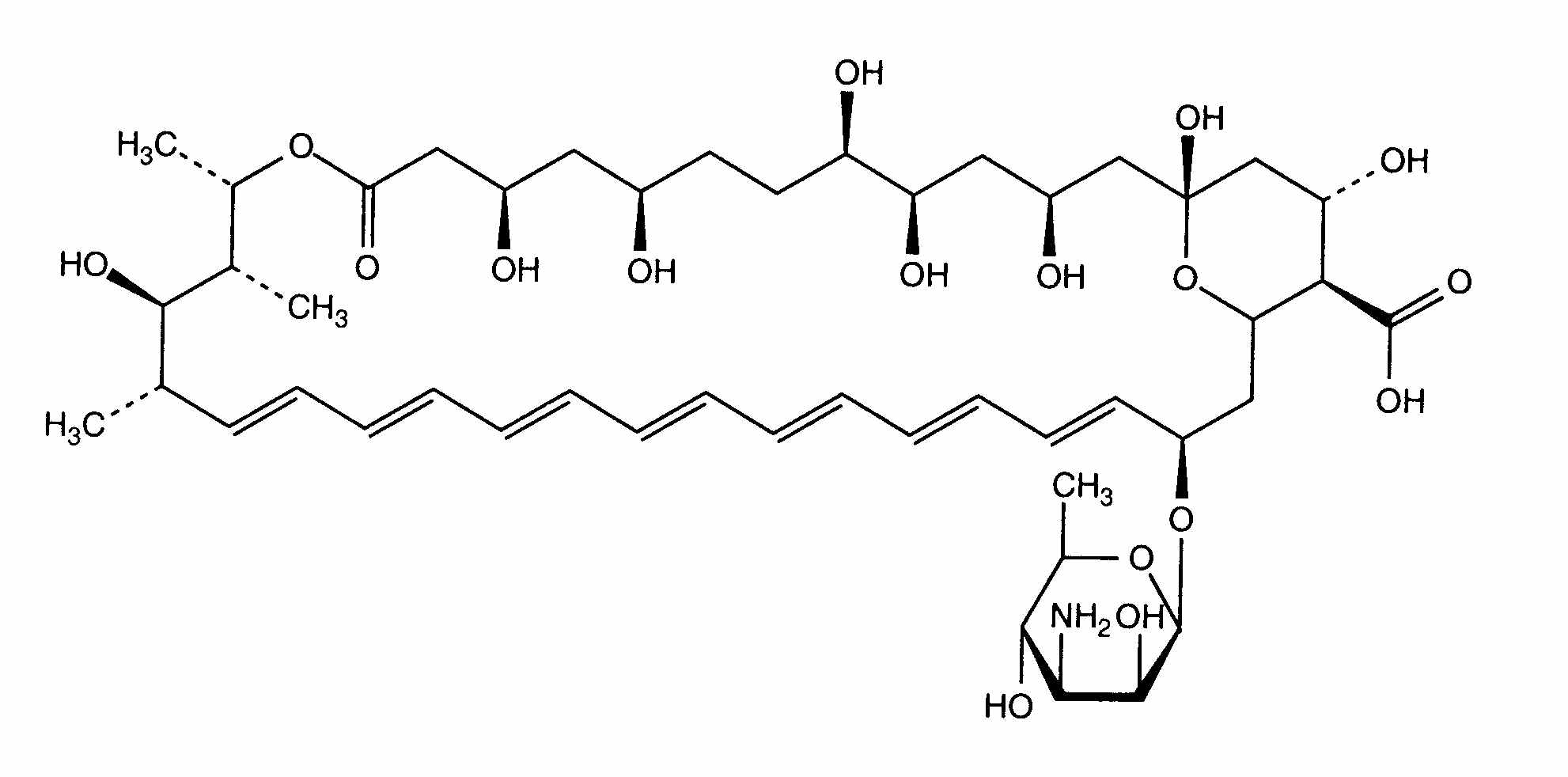
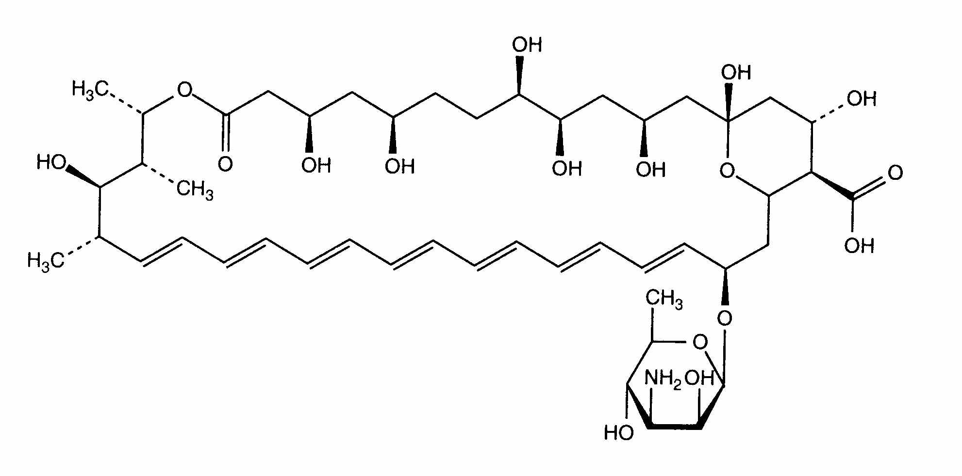
Thuốc chống nấm   Amphotericin B  
Dạng tiêm
Dung dịch uống Khí dung Thuốc nhỏ mắt Thuốc súc miệng
Tính ổn định của các dung dịch Độ ổn định khi trộn lẫn Những yếu tố ảnh hưởng đến độ ổn định Khả năng tương thích Đường dùng Tài liệu tham khảo Pdf
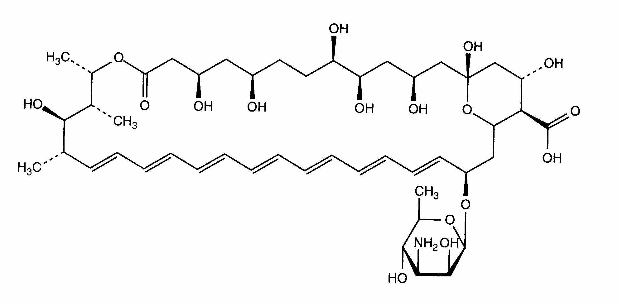
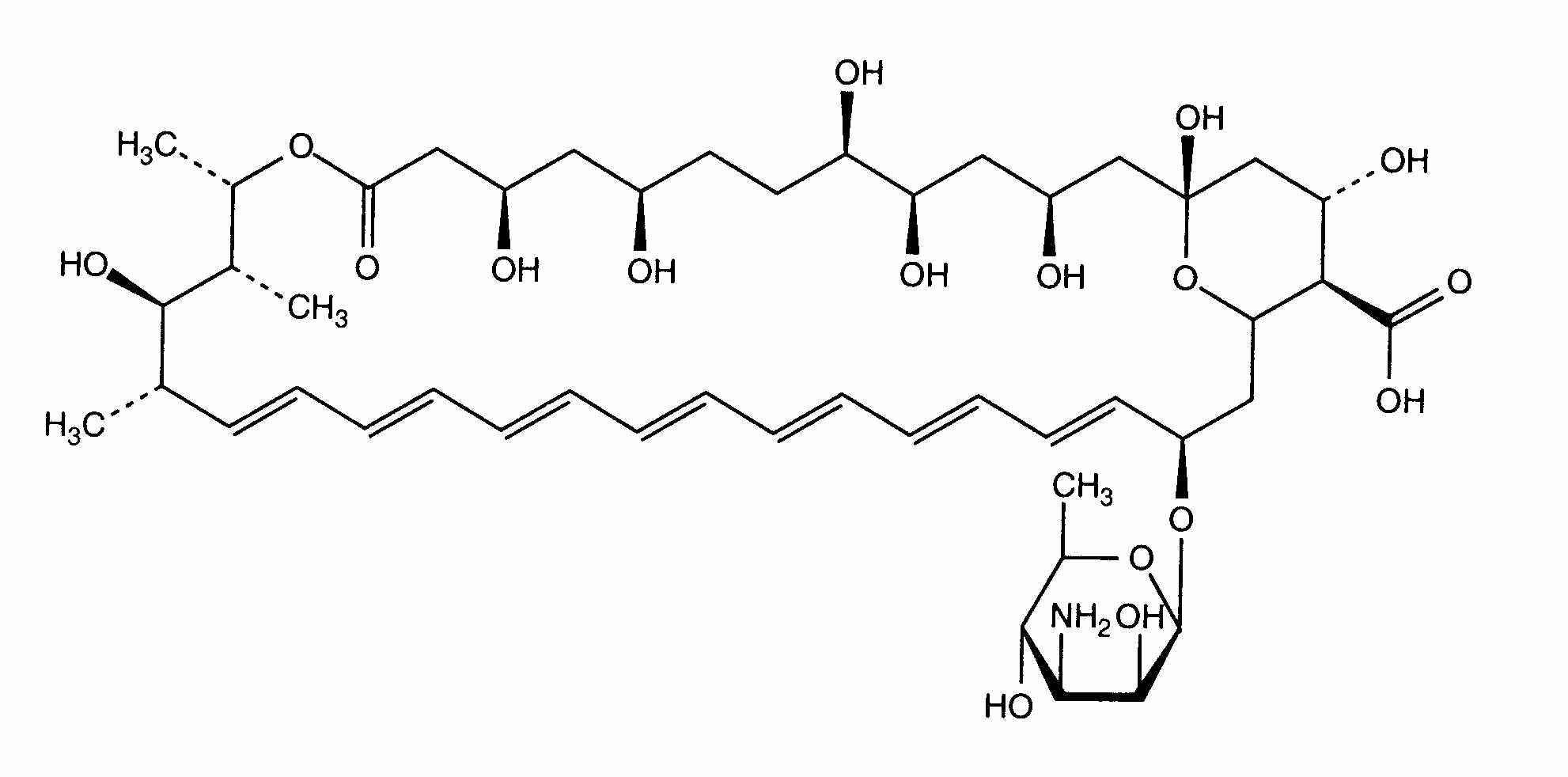
   Cấu trúc hóa học  

Tên thương mại   Tên thương mại     

Các tên thương mại được cung cấp và thành phần tá dược có thể khác nhau giữa các quốc gia và các hãng dược

Fungizone Ấn Độ, Anh, Bồ Đào Nha, Canada, Colombia, Hà Lan, Hoa Kỳ, Hungary, Hy Lạp, Iran, Ireland, Malaysia, Morocco, new zealand, Phần Lan, Pháp, Thổ Nhĩ Kỳ, Thụy Sỹ, Thụy Điển, Tunisia, Venezuela, Ý, Đan Mạch, Đức
Đường dùng   Đường dùng :Amphotericin B     
Đường dùng
Truyền tĩnh mạch
Tiêm trong vỏ
Tiêm vào trong bàng quang
Tiêm vào trong màng phổi
Tiêm vào trong phúc mạc
Tiêm vào trong thủy tinh thể
Tiêm nội khớp
Tiêm dưới kết mạc

  Mentions Légales