Ostatnia aktualizacja :
27/11/2025
Lek przeciwgrzybiczny   Amphotericin B  
Injekcje
Aerozol Krople oczne Roztwór do płukania gardła Roztwór doustny
Trwałość roztworów Trwałość w mieszaninie Czynnik wpływający na trwałość Zgodność Sposób podania Bibliografia pdf
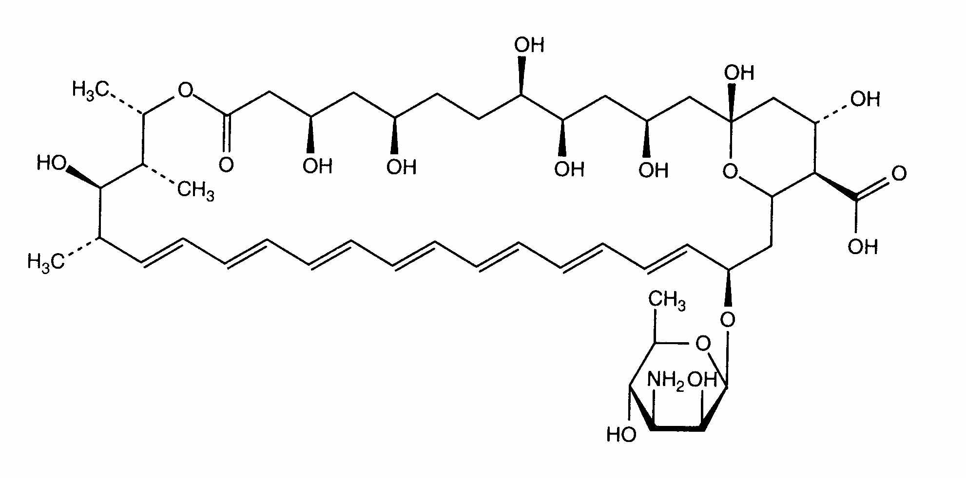
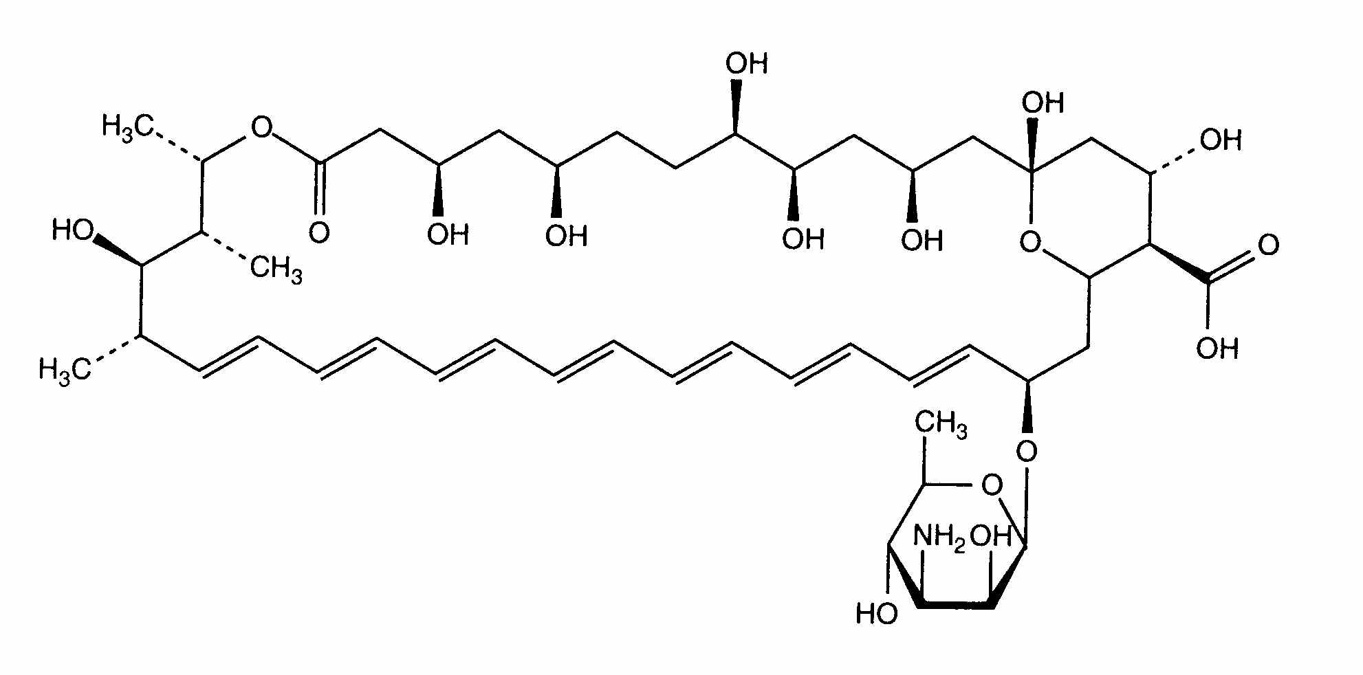
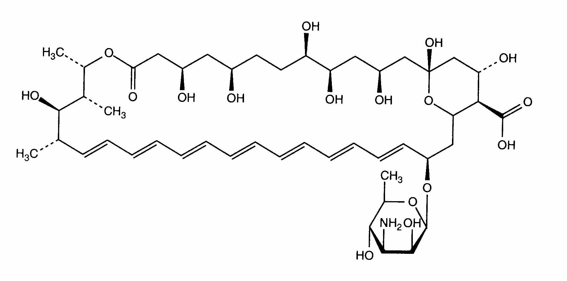
   Struktura chemiczna  

Nazwa handlowa   Nazwa handlowa     

Trade names are indicative and excipients composition can be different depending on the country and manufacturers

Fungizone Dania, Finlandia, Francja , Grecja, Holandia, Indie, Iran, Irlandia, Kanada, KolumbiaKolumbia, Malezja, Maroko, Niemcy, nowa Zelandia, Portugalia, Stany Zjednoczone Ameryki, Szwajcaria, Szwecja, Tunisie, Turcja, Węgry, Wenezuela, Wielka Brytania, Włochy
Sposób podania   Sposób podania :Amphotericin B     
Voie
Wlew dożylny
Podanie dokanałowe
Podanie dopęcherzowe
Podanie do jamy opłucnej
Podanie do jamy otrzewnej
Podanie do ciała szklistego
Podanie wewnątrzstawowe
Podspojówkowo

  Mentions Légales