Dernière mise à jour :
27/11/2025
Antifongique   Amphotericin B  
injectable
Aérosol Collyre Gargarisme Solution buvable
Stabilité des solutions Stabilité en mélange Facteur influençant la stabilité Compatibilités Voie d’administration Bibliographie pdf
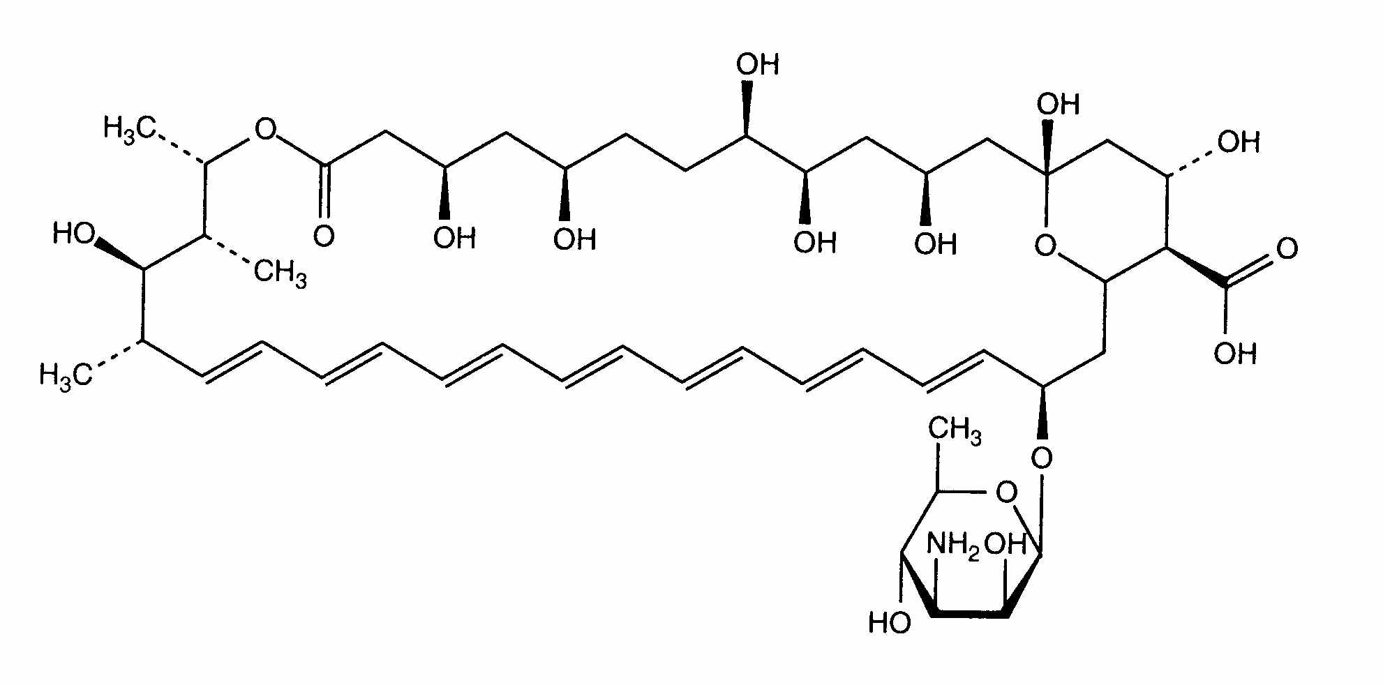
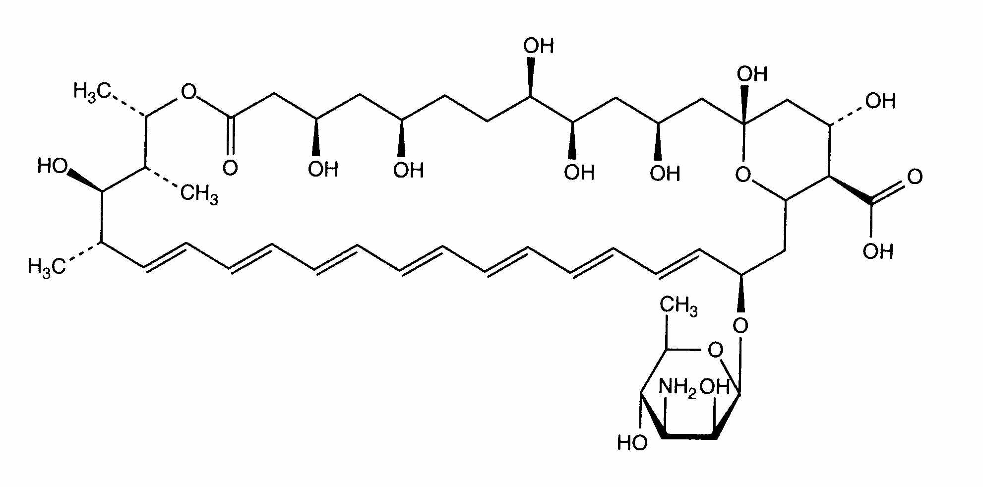
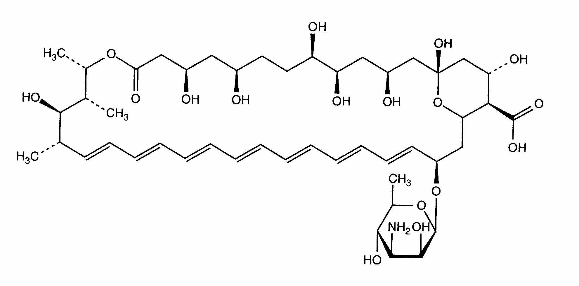
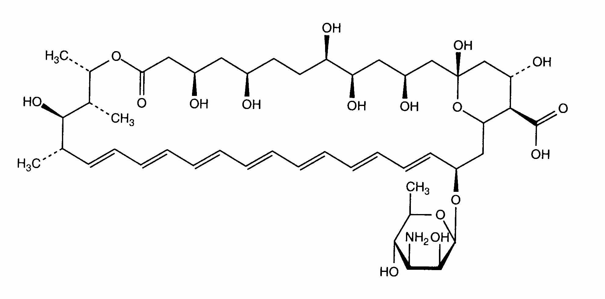
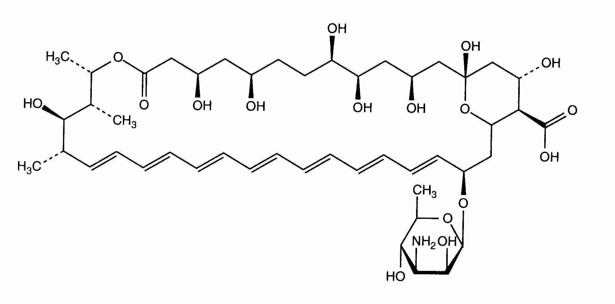
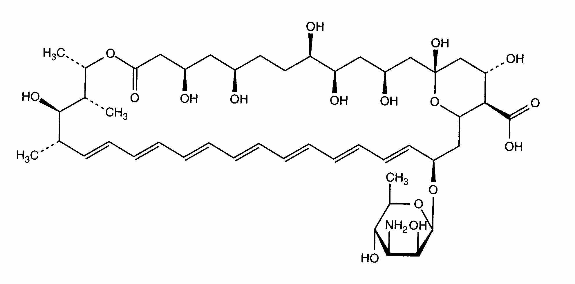
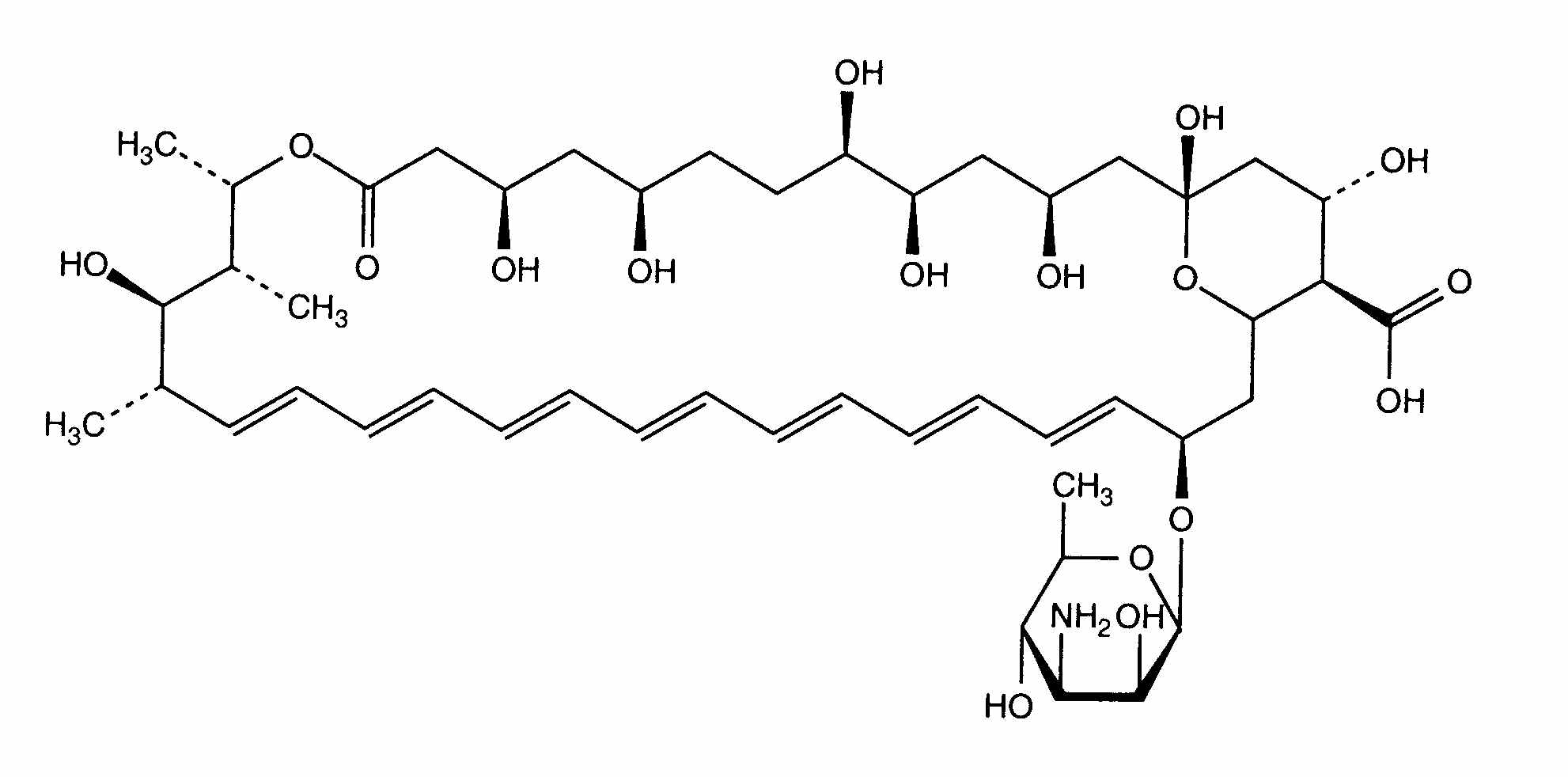
   Structure chimique  

Noms commerciaux   Noms commerciaux     

Les noms commerciaux sont donnés à titre indicatif et la composition en excipients peut être différente selon les pays et selon les laboratoires

Fungizone Allemagne, Canada, Colombie, Danemark, Etats Unis d’Amérique, Finlande, France, Grande Bretagne, Grèce, Hongrie, Inde, Iran, Irlande, Italie, Malaisie, Maroc, Nouvelle Zélande, Pays bas, Portugal, Suède, Suisse, Tunisie, Turquie, Vénézuela
Voie d’administration   Voie d’administration :Amphotericin B     
Voie
Perfusion intraveineuse
Intrathécale
Intravésicale
Intrapleurale
Intrapéritonéale
Intravitréenne
Intraarticulaire
Sous conjonctivale

  Mentions Légales