Letztes “update” :
27/11/2025
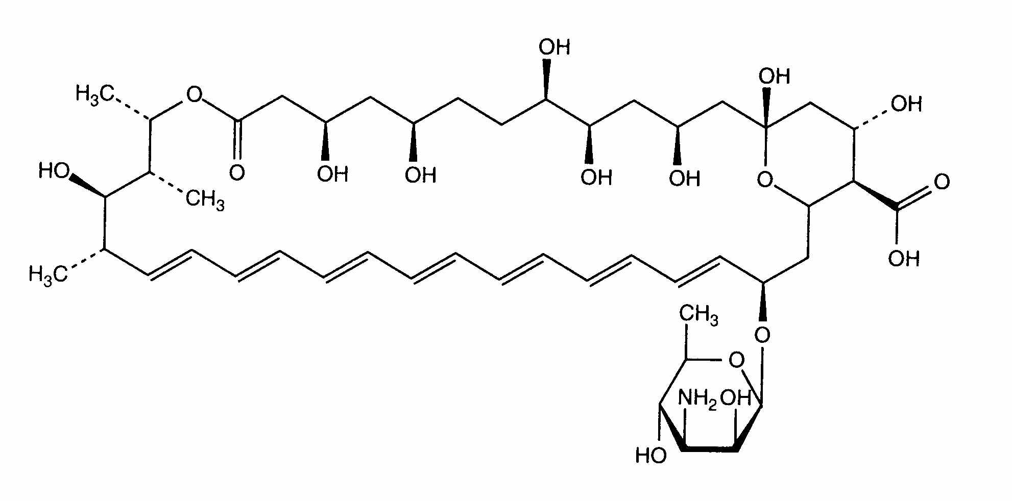
Antifungoid   Amphotericin B  
Injektion
Aerosol Augentropfen Lösung zum Einnehmen Mundspüllösung
Stabilität der Lösung Gemengestabilität Stabilitätbeeinflussende Faktoren Kompatibilitäten Applikationsart Literaturverzeichnis pdf
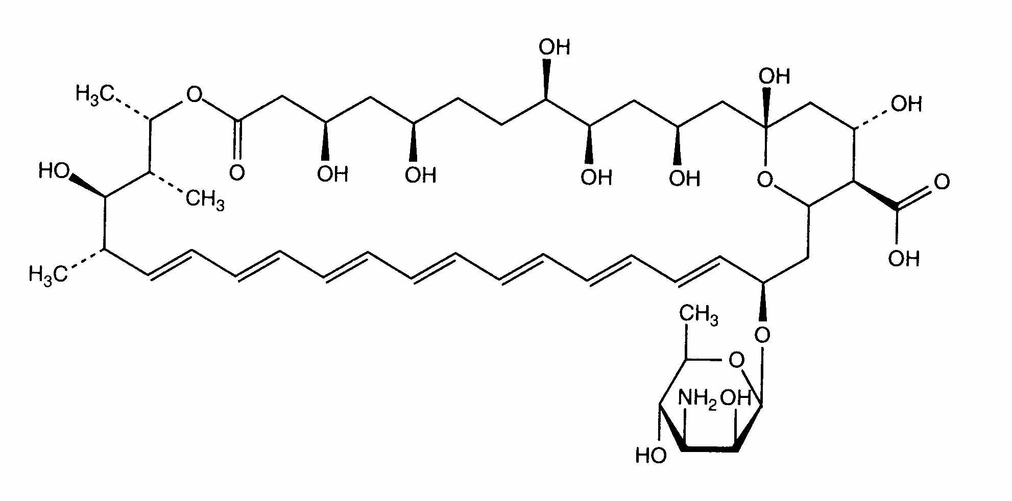
   Chemische Struktur  

Handelsmarke   Handelsmarke     

Handelsnamen sind als beispielhaft anzusehen. Sonstige Bestandteile können je nach Hersteller oder Land verschieden sein

Fungizone Dänemark, Deutschland, Finnland, Frankreich, Griechenland, Großbritannien, Indien, Iran, Irland, Italien, Kanada, Kolumbien, Malaysia, Marokko, Neuseeland, Niederlande, Portugal, Schweden, Schweiz, Tunesien, Türkei, Ungarn, Venezuela, Vereinigte Staaten von Amerika
Applikationsart   Applikationsart :Amphotericin B     
Verabreichung
Intravenöse Perfusion
Intrathekal
Intravesikal
Intrapleural
intraperitoneal
Intravitral
Intraartikulär
Subkonjunktival

  Mentions Légales