Последно актуализиране :
27/11/2025
Противогъбично средство   Amphotericin B  
Инжекция/Инжекционен
Аерозол Капки за очи Орален разтвор Разтвор за уста
Стабилност на разтвори Стабилност на смеси Фактори, повлияващи стабилността Съвместимост Път на въвеждане Библиография Pdf
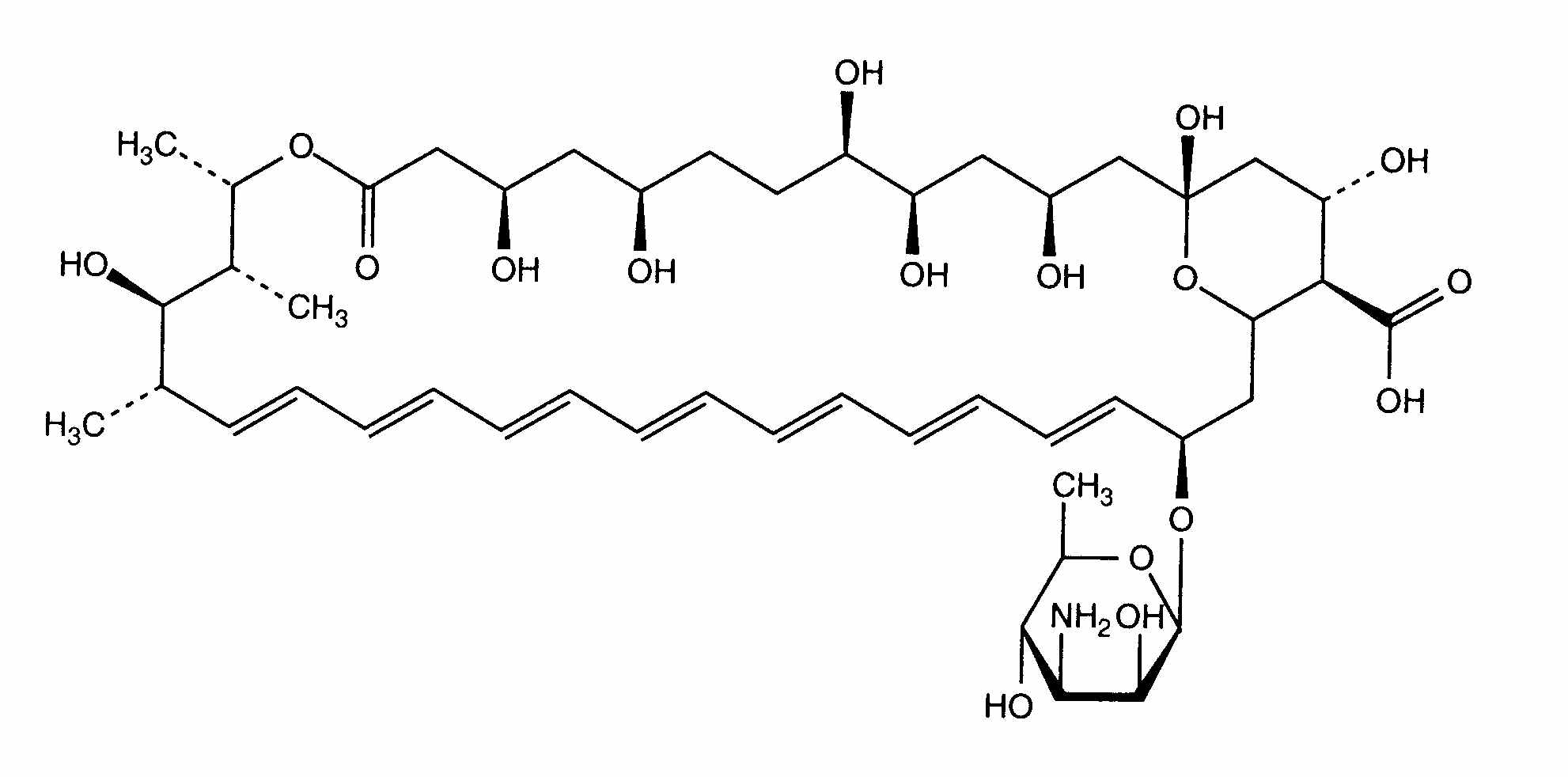
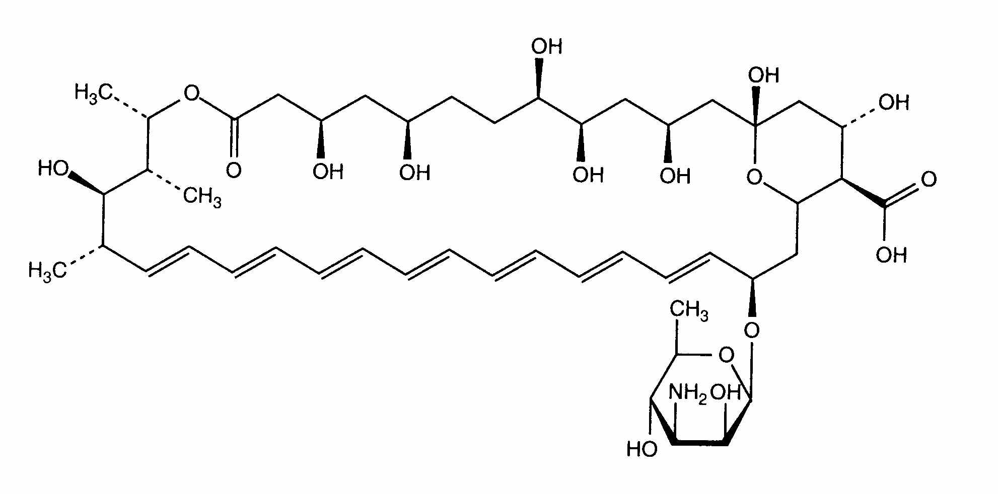
   Химична структура  

Търговско наименование   Търговско наименование     

Търговските имена са примерни и съставът на помощните вещества може да бъде различен в зависимост от държавата и лабораториите

Fungizone Великобритания, Венецуела, Германия, Гърция, Дания, Индия, Иран, Ирландия, Италия, Канада, Колумбия, Малайзия, Мароко, нова Зеландия, Португалия, Съединени Американски щати / САЩ, Тунис, Турция, Унгария, Финландия, Франция, Холандия, Швейцария, Швеция
Път на въвеждане   Път на въвеждане :Amphotericin B     
Voie
Интравенозна инфузия
Интратекално
Вътресъдово
Интраплеврално
Интраперитонеално
Интравенозно
Вътреставно
Под съединителната тъкан

  Mentions Légales