Poslední aktualizace :
18/03/2026
Priešgrybelinis vaistas   Amphotericin B  
Įpurškimas
Aerozolis Akių lašai Geriamas tirpalas Skystis burnai skalauti
Tirpalų stabilumas Mišinių stabilumas Stabilumą lemiantys veiksniai Suderinamumas Leidimo būdai Bibliografija pdf
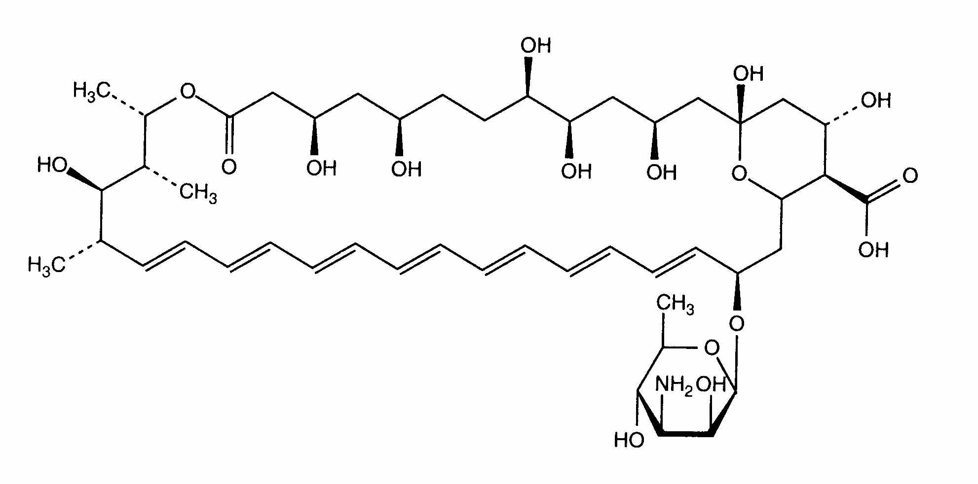
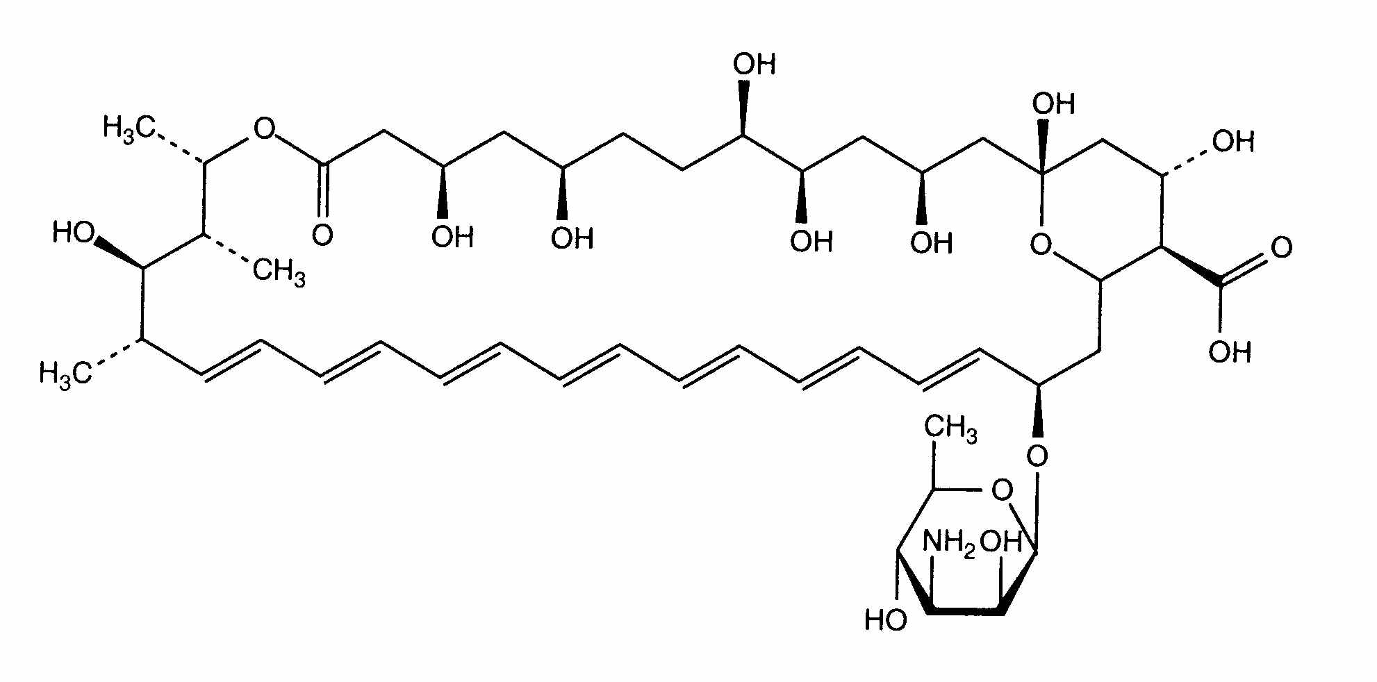
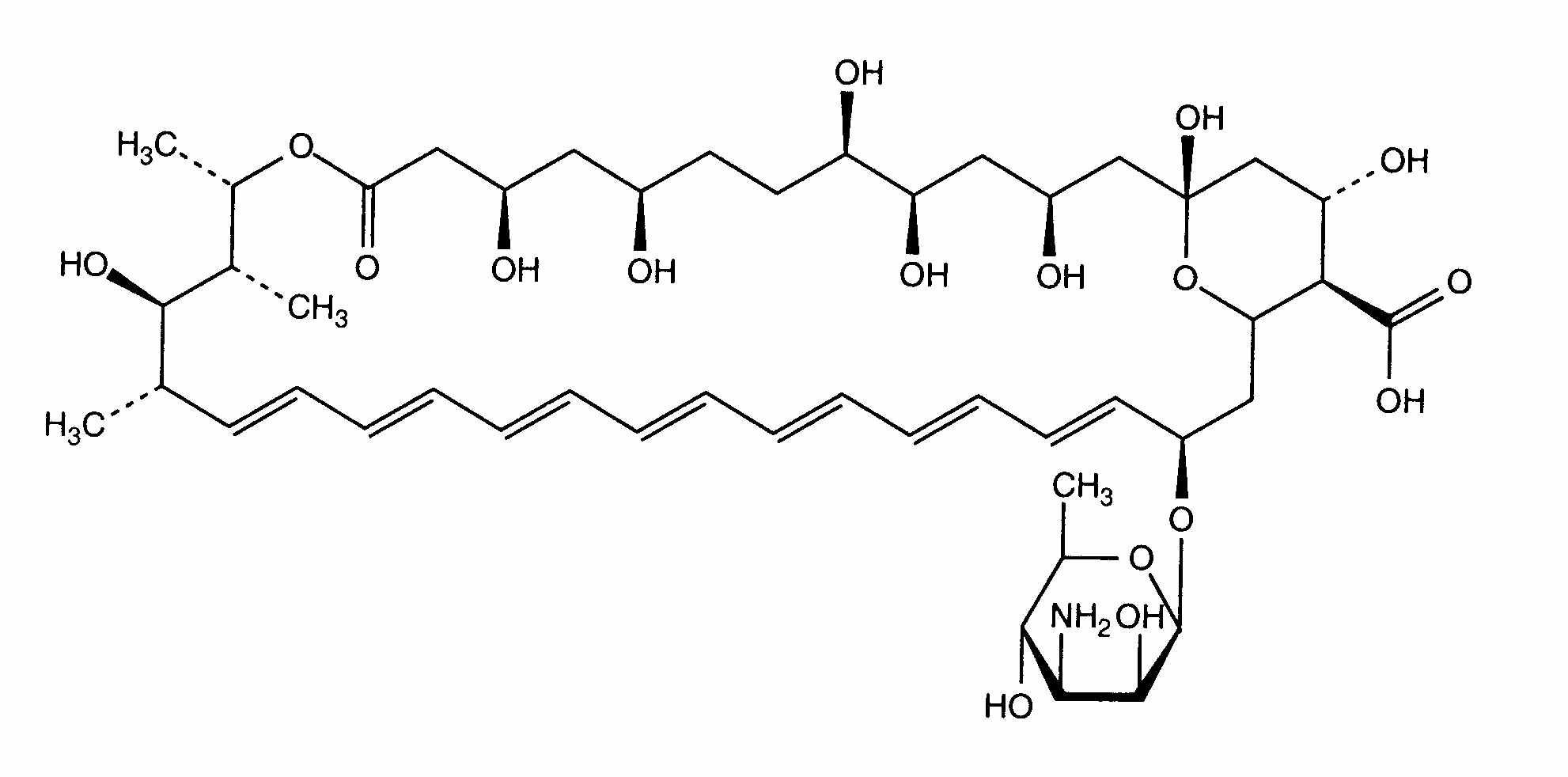
   Cheminė sandara  

Prekinis pavadinimas   Prekinis pavadinimas     

Trade names are indicative and excipients composition can be different depending on the country and manufacturers

Fungizone Airija, Danija, Didžioji Britanija, Graikija, Indija, Iranas, Italija, Jungtinės Amerikos Valstijos, Kanada, Kolumbija, Malaizija, Marokas, Naujojoje Zelandijoje, Olandija, Portugalija, Prancūzija, Suomija, Švedija, Šveicarija, Tunisas, Turkija, Venesuela, Vengrija, Vokietija
Leidimo būdai   Leidimo būdai :Amphotericin B     
Voie
Intraveninė infuzija
Švirkščiamas į nugaros smegenų dangalą
Intravezikalinis
Švirkščiamas į pleurą
Intraperitoninis
Švirkščiamas į stiklakūnį
Intrasąnarinis
Švirkščiamas po jungine

  Mentions Légales