Senaste uppdateringen :
27/11/2025
Antimykotikum   Amphotericin B  
injektion
Aerosol Munvatten ögondroppar Oral lösning
Lösningars stabilitet Stabilitet i blandningar Faktorer som påverkar stabiliteten Kompatibilitet Administreringssätt Hänvisningar pdf
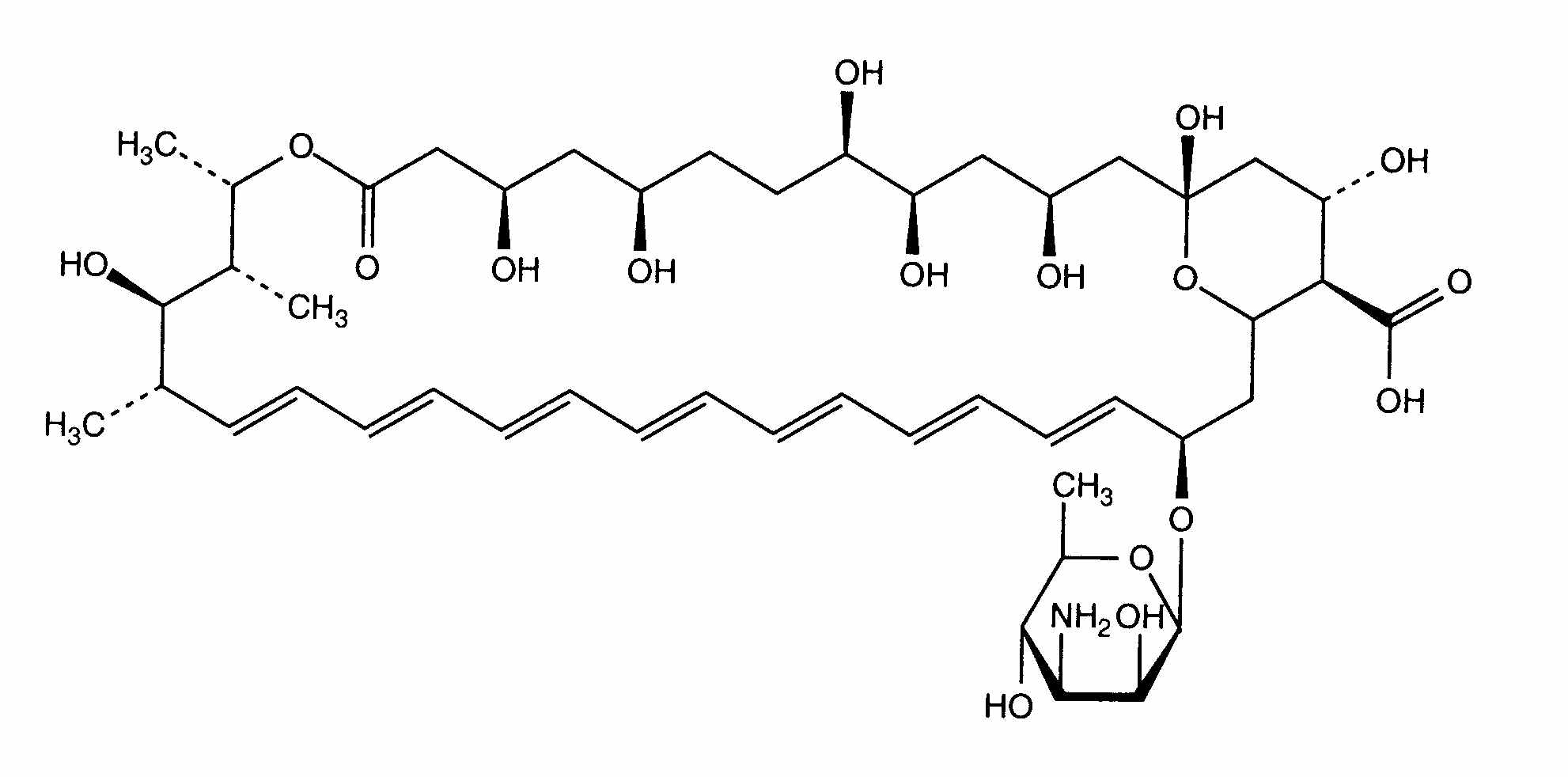
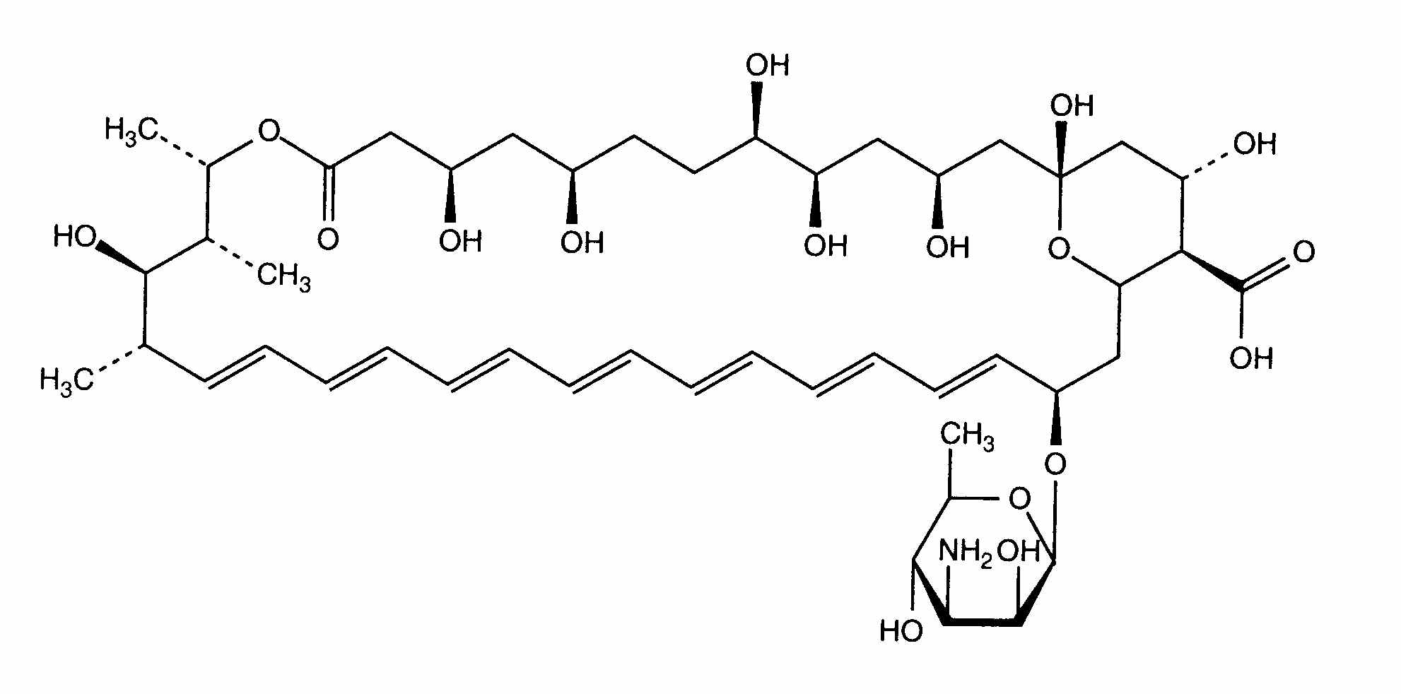
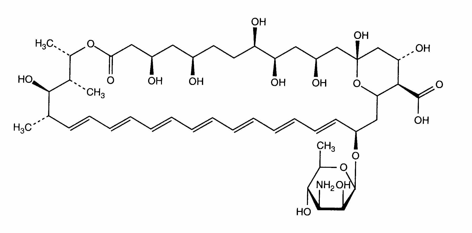
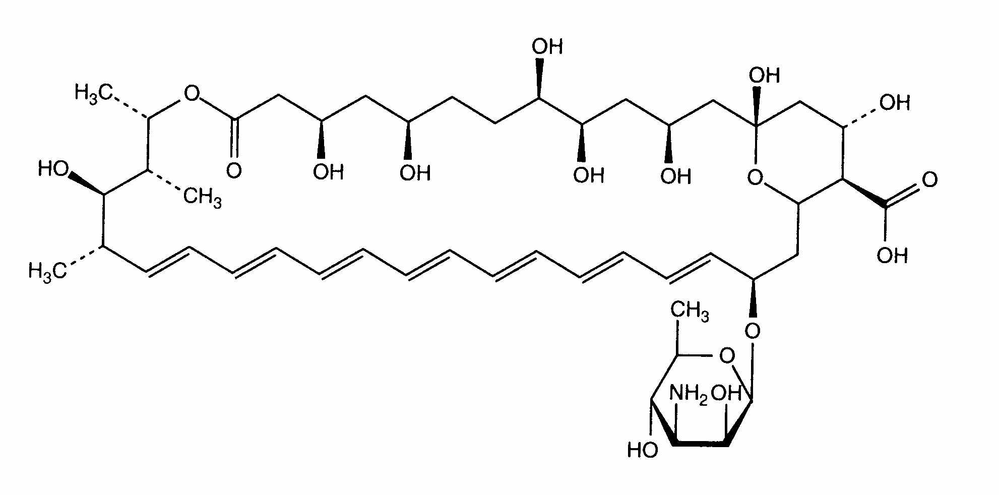
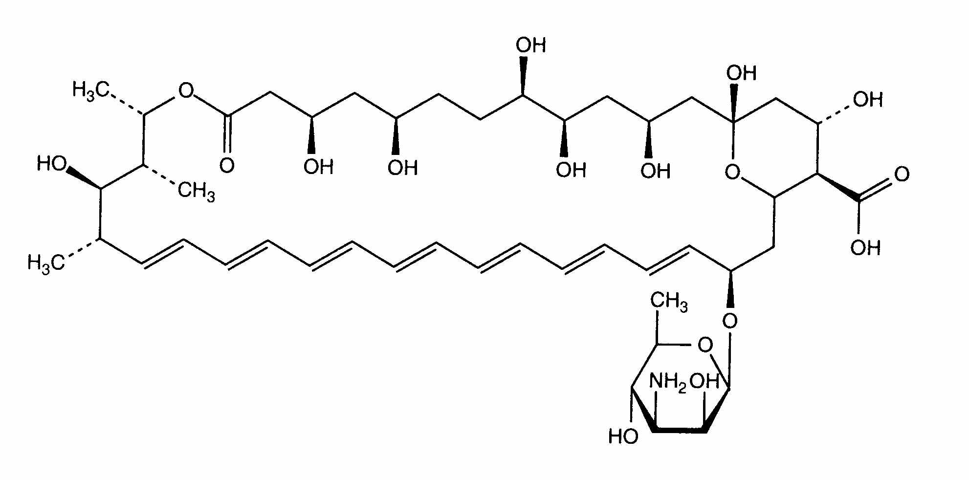
   Molekylstruktur  

Varunamn   Varunamn     

Angivna handelsnamn på läkemedel är enbart vägledande då formulering inklusive hjälpämnen kan variera mellan länder och tillverkare

Fungizone Colombia, Danmark, Finland, Förenta Staterna, Frankrike, Grekland, Indien, Iran, Irland, Italien, Kanada, Malaysia, Marocko, Nederländerna, nya Zeeland, Portugal, Schweiz, Storbritannien, Sverige, Tunisien, Turkiet, Tyskland, Ungern, Venezuela
Administreringssätt   Administreringssätt :Amphotericin B     
Voie
Intravenös infusion
Intratekal
Intravesikal
Intrapleural
Intraperitoneal
Intravitriell
Intraartikulär
Subkonjunktival

  Mentions Légales