Son güncelleme :
18/03/2026
Antibiyotik   Netilmicin sulfate   
Aerosol
Enjeksiyon
Farmasötik preparatlar Kararlılığı Karışımlardaki stabilitesi Stabiliteyi etkileyen faktörler Uyumluluk Kaynaklar pdf
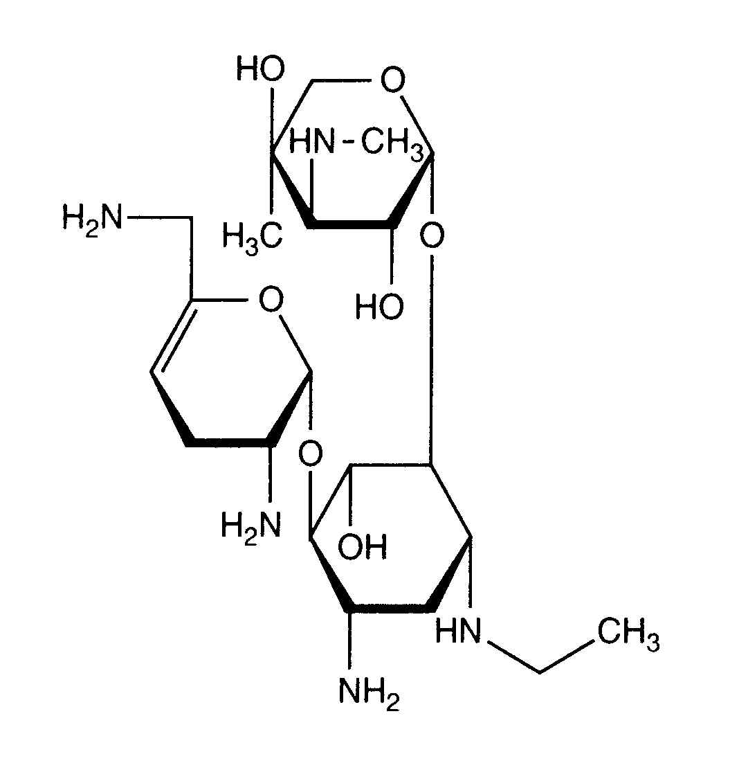
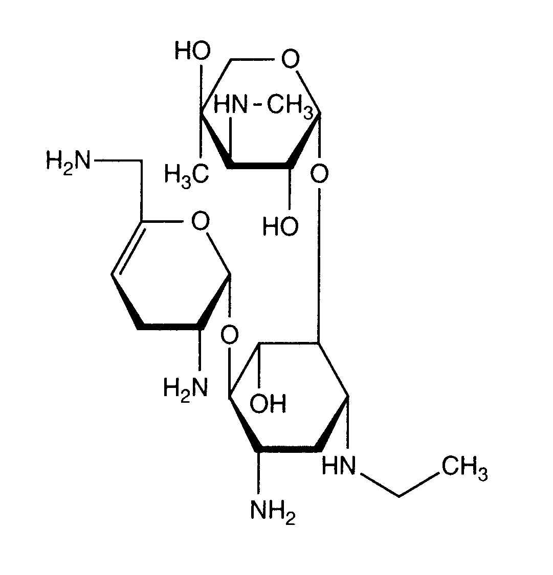
   Kimyasal yapı   

Aerosol
Karışımlardaki stabilitesi   Aerosol   Karışımlardaki stabilitesi : Netilmicin sulfate      
Saklama kabı yardımcı madde Bileşik Isı Saklama    Stabilite süresi Kaynaklar
Belirtilmemiş
Yok
Aerosol   Netilmicin sulfate Enjeksiyon için ilaç şişesi1000 mg   Netromicine®
Aerosol   Betamethasone sodium phosphate Enjeksiyon için ilaç şişesi8 mg = 2  Celestene®
Aerosol   N-acetylcysteine Enjeksiyon için ilaç şişesi100 mg =  Mucomyst®
23-27°C
1 Zaman
I_ık 2648

  Mentions Légales