Poslední aktualizace :
18/03/2026
Antibiotikum   Netilmicin sulfate   
Aerosol
injekce
Stabilita farmaceutických přípravků Stabilita směsí Faktory ovlivňující stabilitu Kompatibilita Odkazy pdf
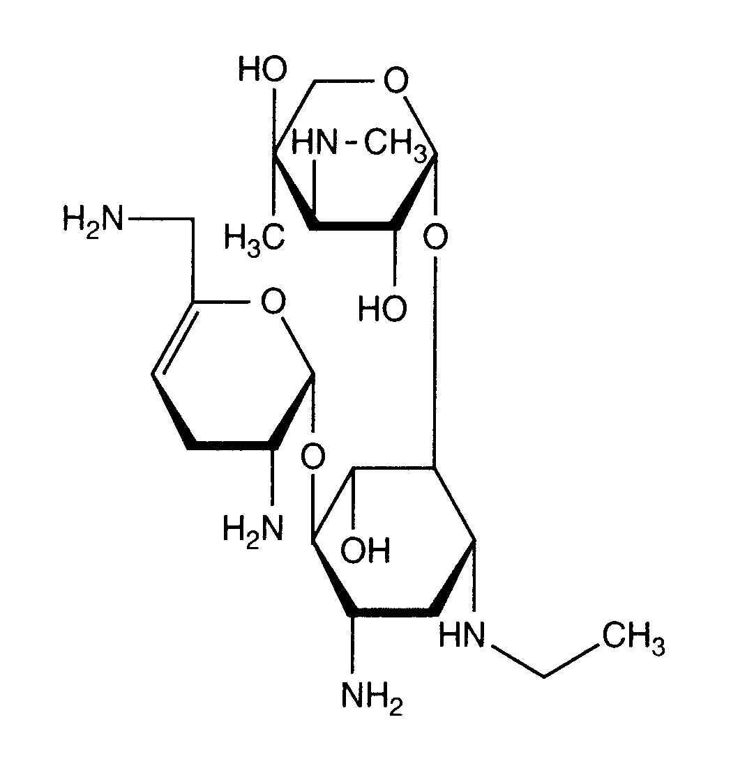
   Chemický vzorec  

Aerosol
Stabilita směsí   Aerosol   Stabilita směsí : Netilmicin sulfate      
Obal Pomocné látky SlouËenina Teplota Uchovávání Trvání stability Odkazy
Nespecifikováno
ne
Aerosol   Netilmicin sulfate Lékovka pro injekci1000 mg   Netromicine®
Aerosol   Betamethasone sodium phosphate Lékovka pro injekci8 mg = 2  Celestene®
Aerosol   N-acetylcysteine Lékovka pro injekci100 mg =  Mucomyst®
23-27°C
1 Hodina
SvÏtlo 2648

  Mentions Légales