Τελευταία ενημέρωση :
18/03/2026
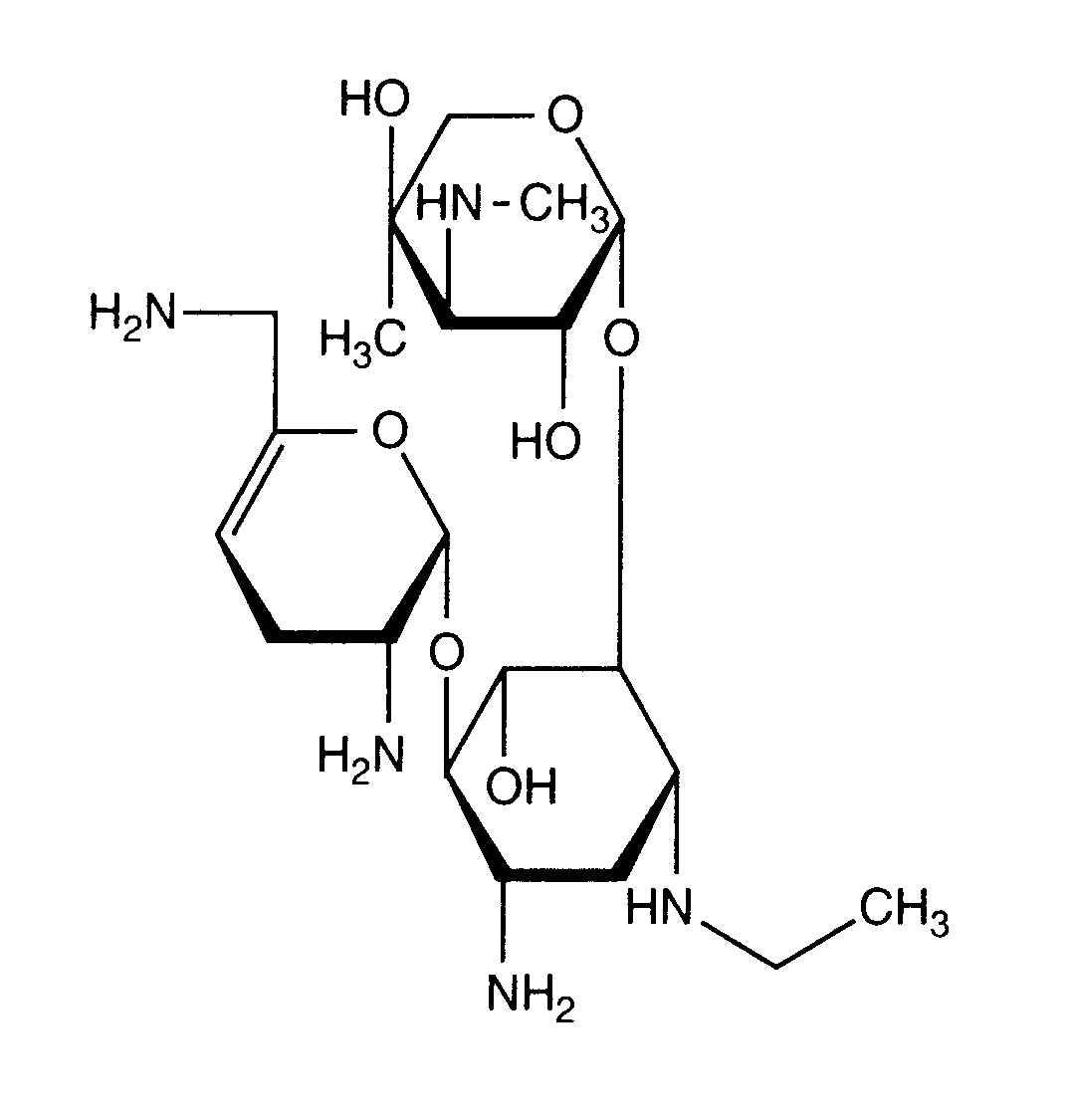
Αντιβιοτικό   Netilmicin sulfate   
Αεροζόλ
Ενέσιμο
Σταθερότητα και συμβατότητα των φαρμάκων Σταθερότητα σε μίγματα Παράγοντας που επηρεάζει τη σταθερότητα Συμβατότητες Βιβλιογραφία pdf
   χημική δομή  

Αεροζόλ
Σταθερότητα σε μίγματα   Αεροζόλ   Σταθερότητα σε μίγματα : Netilmicin sulfate      
Υποδοχέας Έκδοχο Συστατικό Θερμοκρασία Αποθήκευση Διάρκεια σταθερότητας Βιβλιογραφία
Απροσδιόριστο
Κανένα
Αεροζόλ   Netilmicin sulfate Φιαλίδιο φαρμάκου για ένεση1000 mg   Netromicine®
Αεροζόλ   Betamethasone sodium phosphate Φιαλίδιο φαρμάκου για ένεση8 mg = 2  Celestene®
Αεροζόλ   N-acetylcysteine Φιαλίδιο φαρμάκου για ένεση100 mg =  Mucomyst®
23-27°C
1 Ώρα
Φως 2648

  Mentions Légales