Ostatnia aktualizacja :
18/03/2026
Antybiotyk   Netilmicin sulfate   
Aerozol
Injekcje
Stabilność preparatów farmaceutycznych Trwałość w mieszaninie Czynnik wpływający na trwałość Zgodność Bibliografia pdf
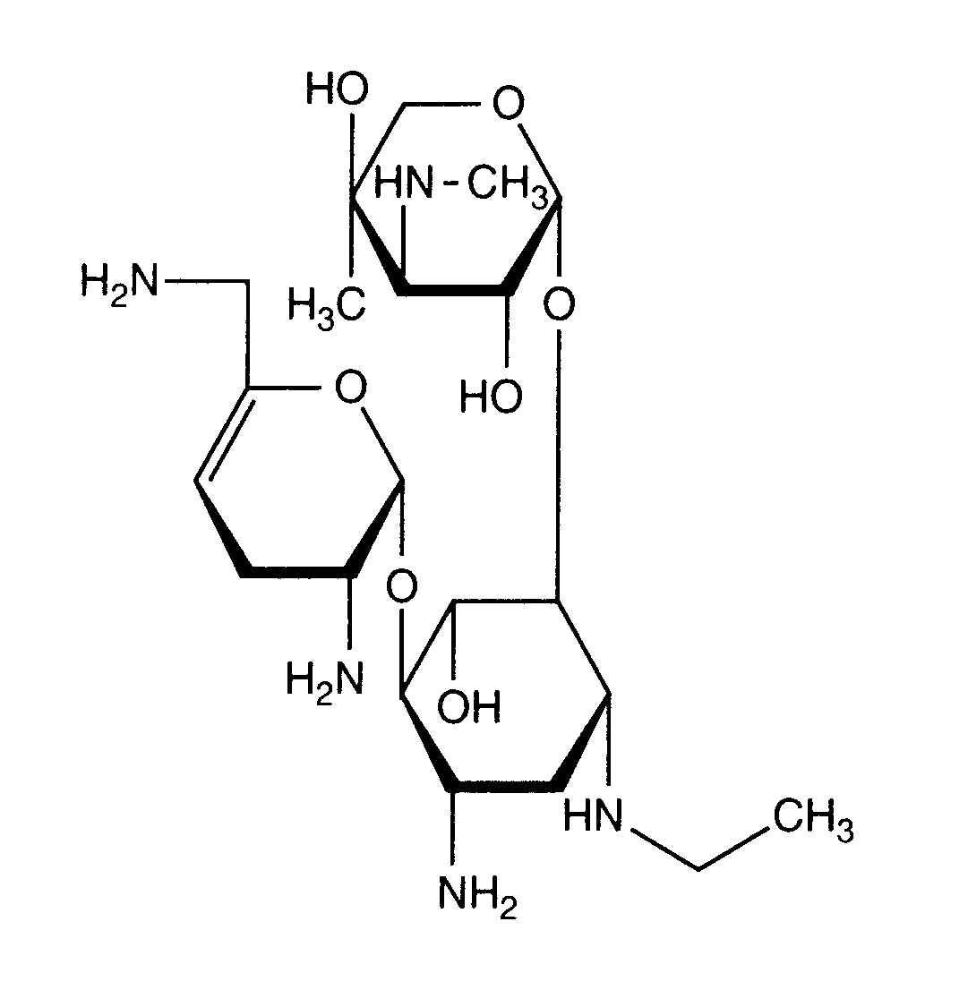
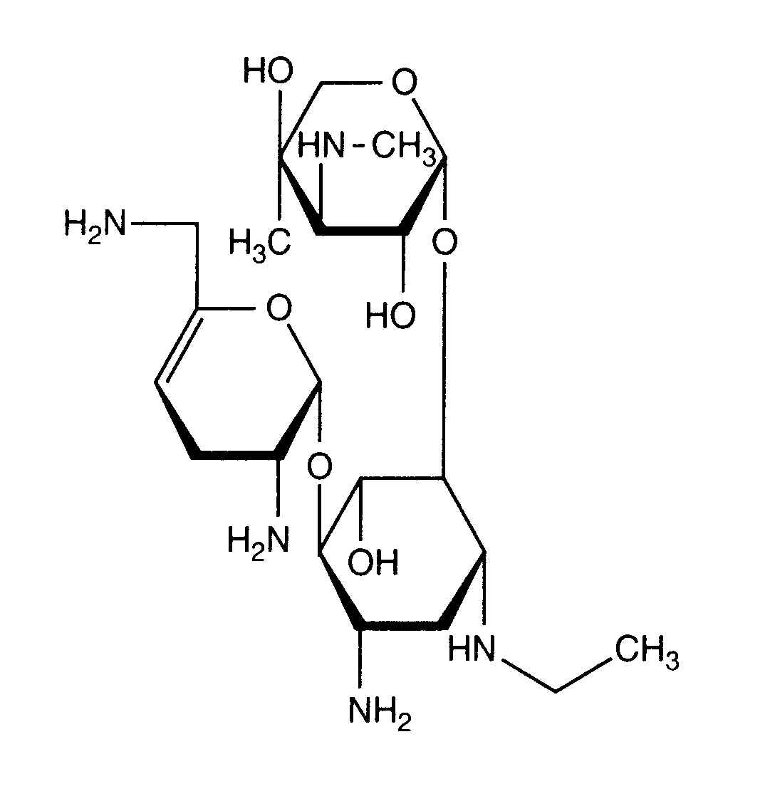
   Struktura chemiczna  

Aerozol
Trwałość w mieszaninie   Aerozol   Trwałość w mieszaninie : Netilmicin sulfate      
Pojemnik Substancja pomocniczna Związek Temperatura Przechowywanie Czas trwania stabilności Bibliografia
Brak informacji
Żadny
Aerozol   Netilmicin sulfate Fiolka1000 mg   Netromicine®
Aerozol   Betamethasone sodium phosphate Fiolka8 mg = 2  Celestene®
Aerozol   N-acetylcysteine Fiolka100 mg =  Mucomyst®
23-27°C
1 Godzina
światło 2648

  Mentions Légales