Letztes “update” :
18/03/2026
Antibiotikum   Netilmicin sulfate   
Aerosol
Injektion
Stabilität von pharmazeutischen Präparaten Gemengestabilität Stabilitätbeeinflussende Faktoren Kompatibilitäten Literaturverzeichnis pdf
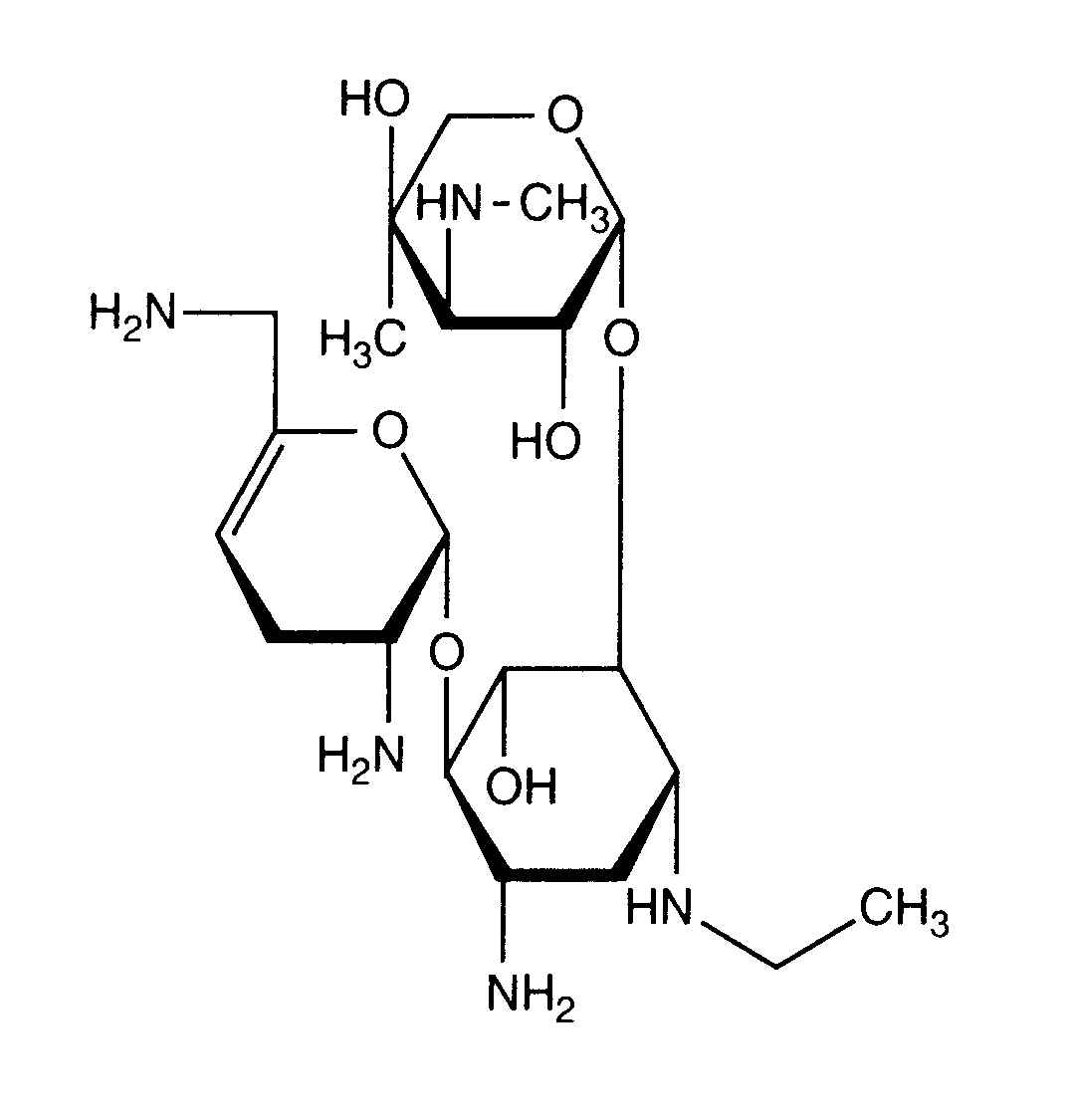
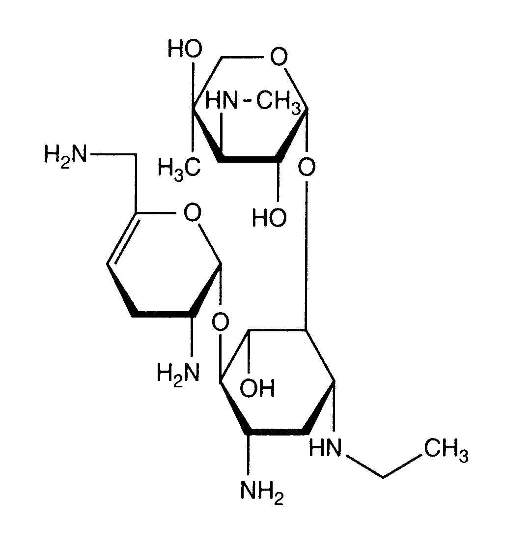
   Chemische Struktur  

Aerosol
Gemengestabilität   Aerosol   Gemengestabilität : Netilmicin sulfate      
Behälter Hilfsstoff Molekül Temperatur Konservierung Dauer der Stabilität Literaturverzeichnis
Nicht genau angegeben
kein
Aerosol   Netilmicin sulfate Injektionsflasche1000 mg   Netromicine®
Aerosol   Betamethasone sodium phosphate Injektionsflasche8 mg = 2  Celestene®
Aerosol   N-acetylcysteine Injektionsflasche100 mg =  Mucomyst®
23-27°C
1 Stunde
Licht 2648

  Mentions Légales