Última actualización :
18/03/2026
Antibiótico   Netilmicin sulfate   
Aerosol
Inyectables
La estabilidad de las preparaciones farmacéuticas Estabilidad en mezcla Factores que influyen sobre la estabilidad Compatibilidades Bibliografía pdf
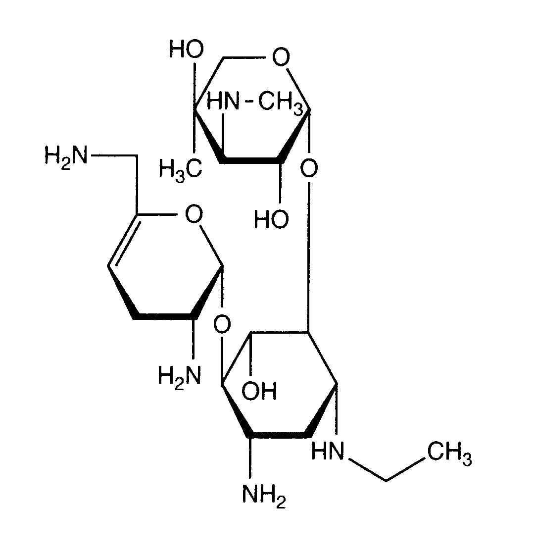
   Estructura química  

Aerosol
Estabilidad en mezcla   Aerosol   Estabilidad en mezcla : Netilmicin sulfate      
Envase Excipiente Molécula Temperatura Conservación Duración de la estabilidad Bibliografía
No precisado
Ninguno
Aerosol   Netilmicin sulfate Frasco para medicamentos inyectables1000 mg   Netromicine®
Aerosol   Betamethasone sodium phosphate Frasco para medicamentos inyectables8 mg = 2  Celestene®
Aerosol   N-acetylcysteine Frasco para medicamentos inyectables100 mg =  Mucomyst®
23-27°C
1 Hora
Luz 2648

  Mentions Légales