Senaste uppdateringen :
18/03/2026
Antibiotikum   Netilmicin sulfate   
Aerosol
injektion
Stabilitet av läkemedel Stabilitet i blandningar Faktorer som påverkar stabiliteten Kompatibilitet Hänvisningar pdf
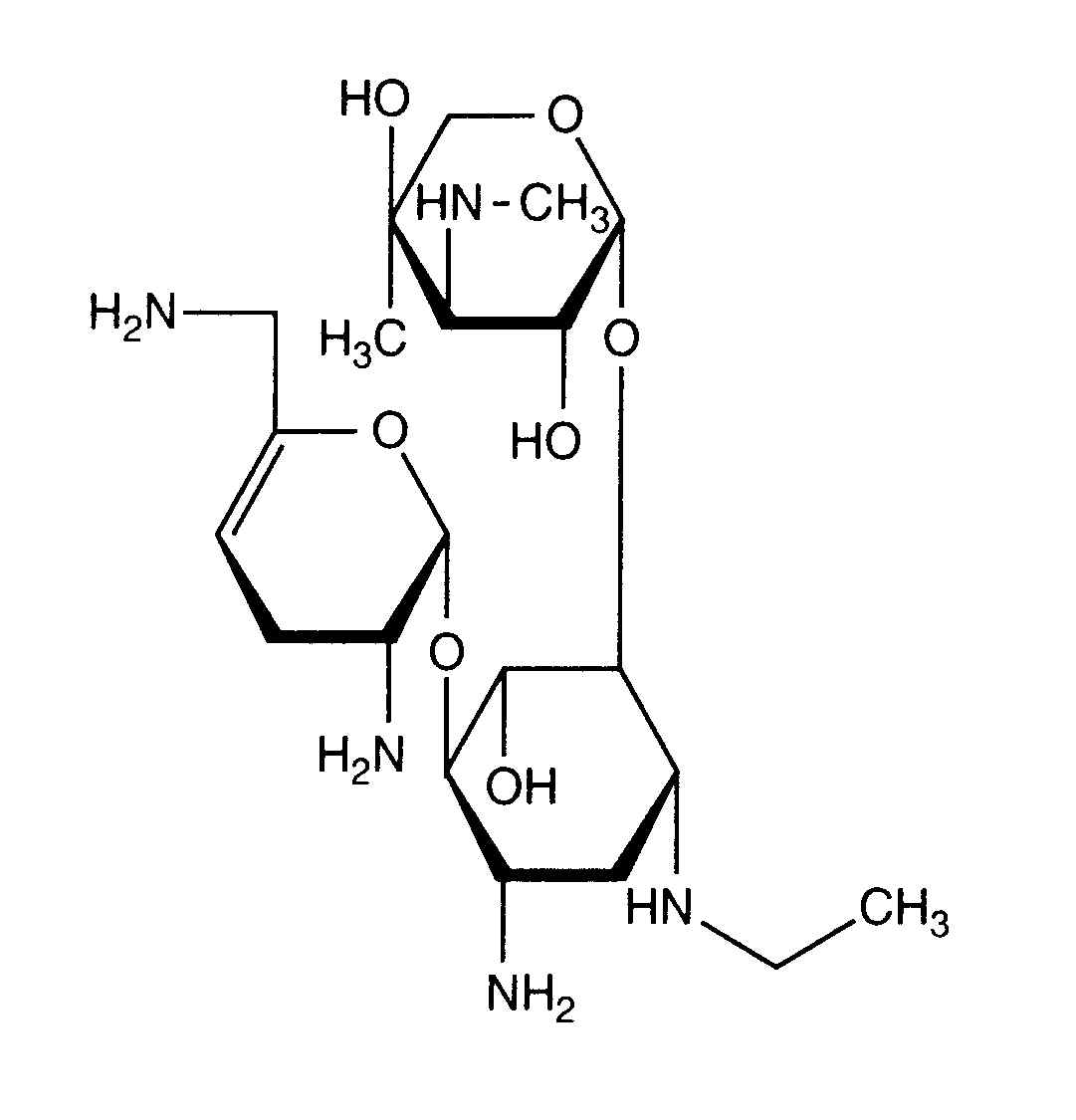
   Molekylstruktur  

Aerosol
Stabilitet i blandningar   Aerosol   Stabilitet i blandningar : Netilmicin sulfate      
Behållare Hjälpämne Substans Temperatur Förvaring Stabilitets varaktighet Hänvisningar
Ej angiven
Ingen
Aerosol   Netilmicin sulfate injektionsflaska1000 mg   Netromicine®
Aerosol   Betamethasone sodium phosphate injektionsflaska8 mg = 2  Celestene®
Aerosol   N-acetylcysteine injektionsflaska100 mg =  Mucomyst®
23-27°C
1 Timma
Ljus 2648

  Mentions Légales