Utolsó frissítés :
18/03/2026
Antibiotikum   Netilmicin sulfate   
aeroszol
Injekció
Stabilitása gyógyszerészeti készítmények A keverékek stabilitása Stabilitást befolyásoló tényezők Kompatibilitás Irodalom pdf
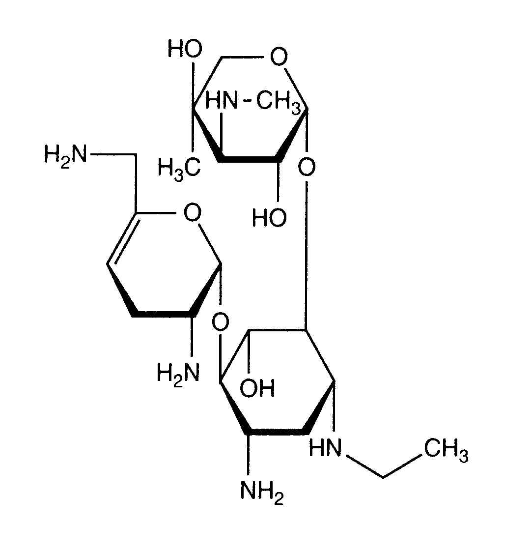
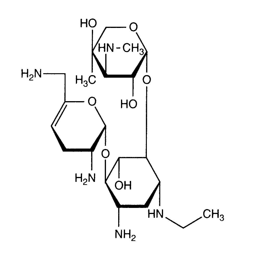
   Kémiai szerkezet   

aeroszol
A keverékek stabilitása   aeroszol   A keverékek stabilitása : Netilmicin sulfate      
Csomagolás segédanyag Vegyület Hőmérséklet Tárolás A stabilitás időtartama Irodalom
Nincs meghatározva
nincs
aeroszol   Netilmicin sulfate Injekcióhoz való űveg1000 mg   Netromicine®
aeroszol   Betamethasone sodium phosphate Injekcióhoz való űveg8 mg = 2  Celestene®
aeroszol   N-acetylcysteine Injekcióhoz való űveg100 mg =  Mucomyst®
23-27°C
1 Óra
Fény 2648

  Mentions Légales