Последнее обновление :
18/03/2026
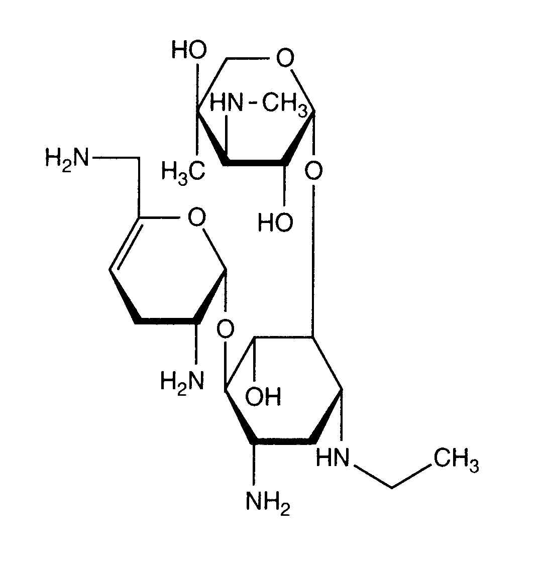
Антибиотик   Netilmicin sulfate   
Аэрозоль
Инъекция
Стабильность фармацевтических препаратов Стабильность смесей Факторы, которые влияют на стабильность Совместимость Библиография pdf
   Химическая структура  

Аэрозоль
Стабильность смесей   Аэрозоль   Стабильность смесей : Netilmicin sulfate      
Упаковка Наполнитель Молекула Температура Хранение Продолжительность стабильности Ссылки
Не указано
Нет
Аэрозоль   Netilmicin sulfate Медицинская бутылка для инъекций1000 mg   Netromicine®
Аэрозоль   Betamethasone sodium phosphate Медицинская бутылка для инъекций8 mg = 2  Celestene®
Аэрозоль   N-acetylcysteine Медицинская бутылка для инъекций100 mg =  Mucomyst®
23-27°C
1 Час
Свет 2648

  Mentions Légales