Viimeisin päivitys :
18/03/2026
Antibiootit   Netilmicin sulfate   
Aerosoli
Injektioneste
Vakaus lääkevalmisteen Stabilius seoksissa Tekijät, jotka vaikuttavat stabiliuteen Yhteensopivuus Viitteet pdf
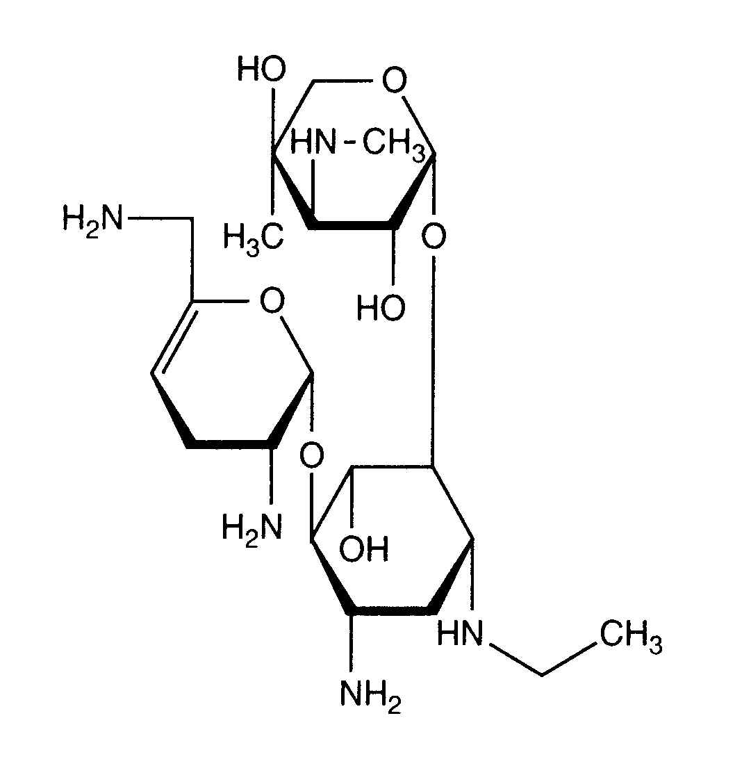
   Kemiallinen rakenne  

Aerosoli
Stabilius seoksissa   Aerosoli   Stabilius seoksissa : Netilmicin sulfate      
Astia Apuaine Yhdiste Lämpötila Säilytys Vakauden kesto Viitteet
Ei määritetty
Ei ole
Aerosoli   Netilmicin sulfate Injektionestepullo1000 mg   Netromicine®
Aerosoli   Betamethasone sodium phosphate Injektionestepullo8 mg = 2  Celestene®
Aerosoli   N-acetylcysteine Injektionestepullo100 mg =  Mucomyst®
23-27°C
1 tunti
Valo 2648

  Mentions Légales