zadnja posodobitev :
18/03/2026
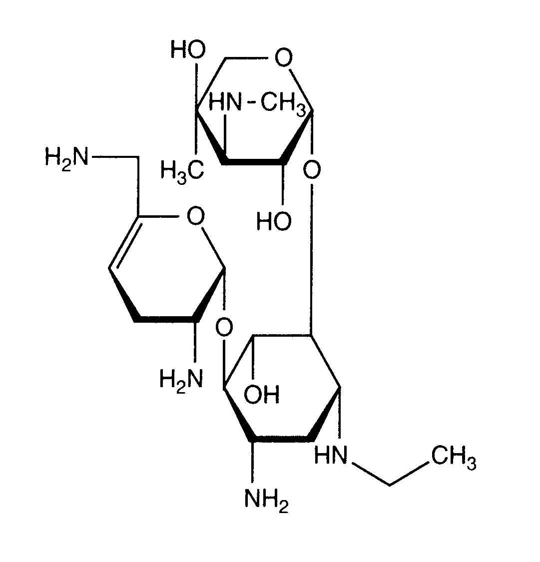
Antibiotik   Netilmicin sulfate   
Aerosol
Brizgalka
Stabilnost farmacevtskih preparatov Stabilnost mešanice Faktorji, ki vplivajo na stabilnost Kompatibilnost Viri pdf
   Kemična formula  

Aerosol
Stabilnost mešanice   Aerosol   Stabilnost mešanice : Netilmicin sulfate      
Vsebnik Ekscipient Sestava Temperatura Shranjevanje Trajanje stabilnosti Viri
Nedoločeno
Nič
Aerosol   Netilmicin sulfate Medicinske steklenica za injiciranje1000 mg   Netromicine®
Aerosol   Betamethasone sodium phosphate Medicinske steklenica za injiciranje8 mg = 2  Celestene®
Aerosol   N-acetylcysteine Medicinske steklenica za injiciranje100 mg =  Mucomyst®
23-27°C
1 čas
Svetloba 2648

  Mentions Légales