Posledná aktualizácia :
18/03/2026
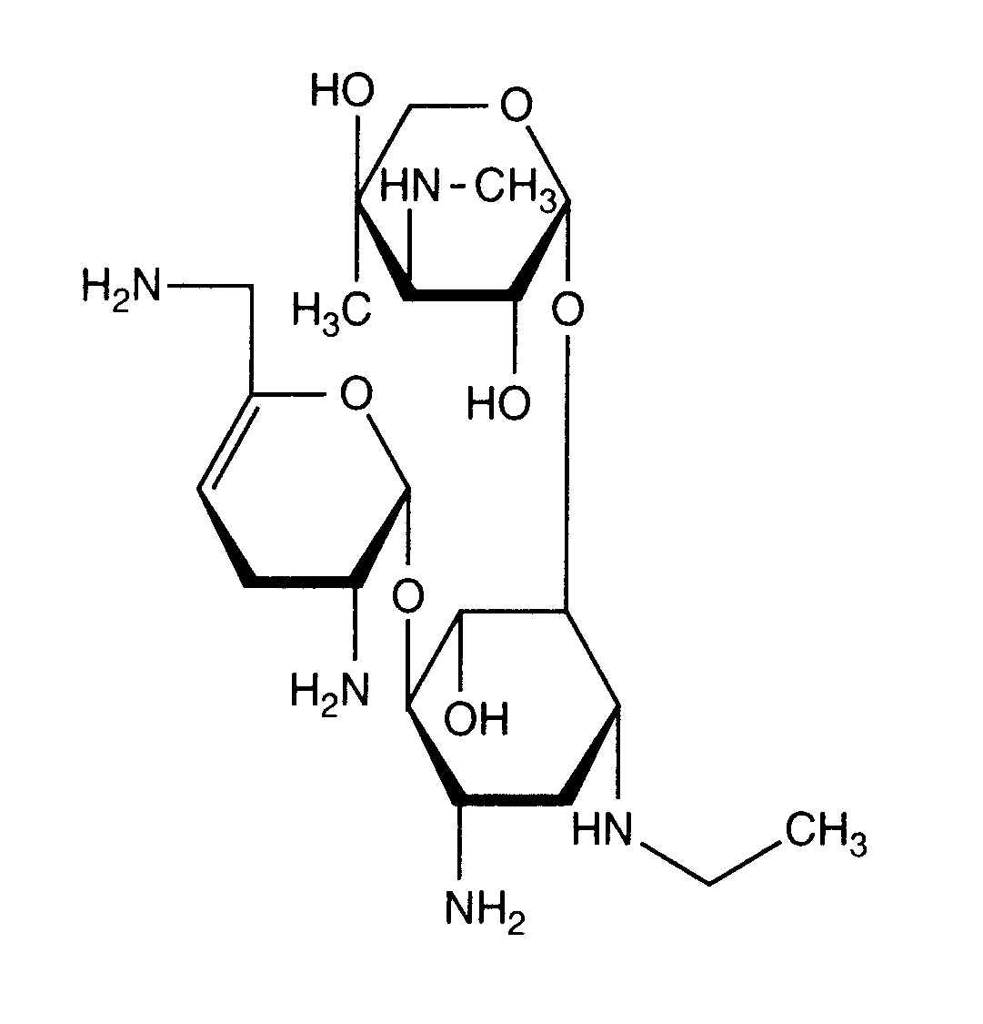
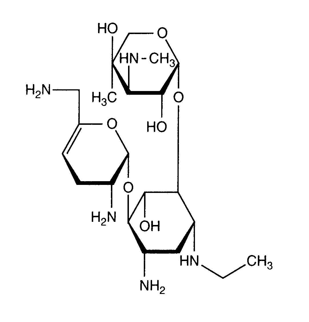
antibiotikum   Netilmicin sulfate   
Aerosól
Injekcia
Stabilita farmaceutických prípravkov Stabilita v zmesiach Faktory ovplyvňujúce stabilitu Kompatibility Odkazy na literatúru PDF
   Chemický vzorec  

Aerosól
Stabilita v zmesiach   Aerosól   Stabilita v zmesiach : Netilmicin sulfate      
obal Pomocná látka Zlúčenina teplota uchovávanie Trvanie stability odkazy na lieteratúru
nešpecifikované
Žiadne
Aerosól   Netilmicin sulfate Injekčná liekovka1000 mg   Netromicine®
Aerosól   Betamethasone sodium phosphate Injekčná liekovka8 mg = 2  Celestene®
Aerosól   N-acetylcysteine Injekčná liekovka100 mg =  Mucomyst®
23-27°C
1 hodín
Za svetla 2648

  Mentions Légales