Закрити
Останнє оновлення :
17/12/2025
Infostab
Список препаратів
Зведені списки
Пошук сумісності
Таблиця сумісності Y-site
Список літератури
Дослідницькі групи
valistab
Плакати
Посилання
Спонсори
Автори
Посібник користувача
Newsletter
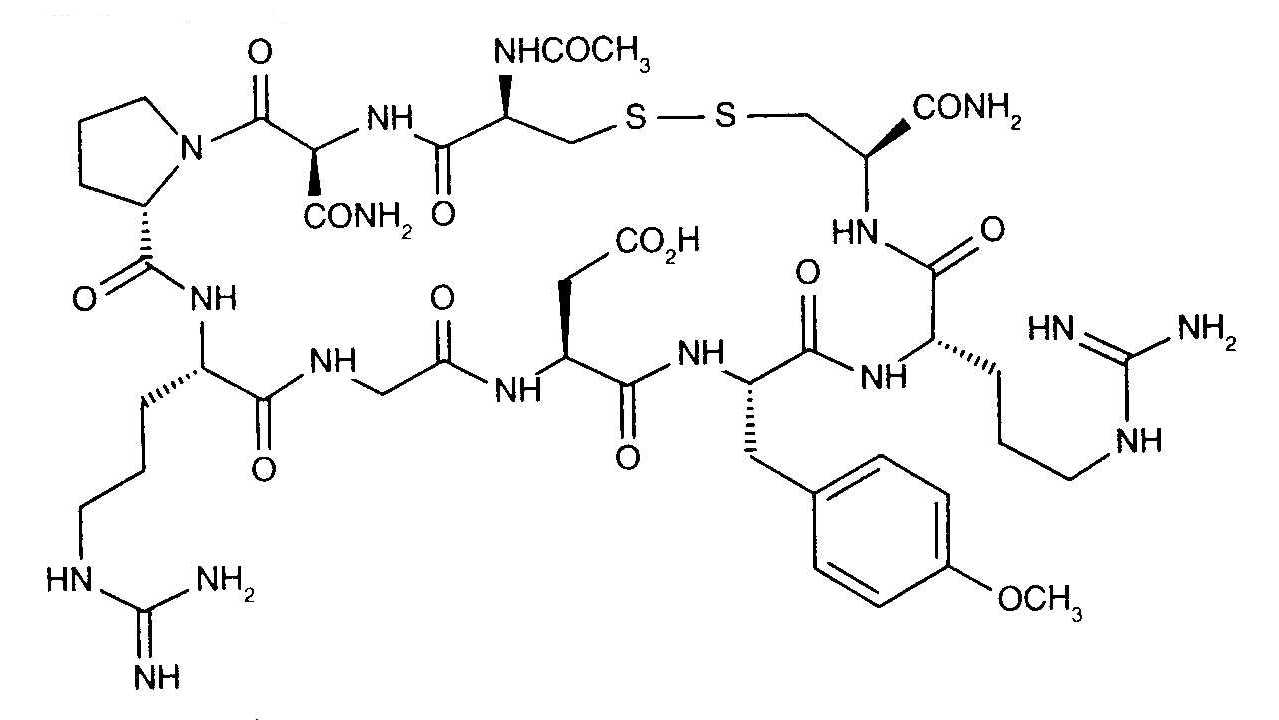
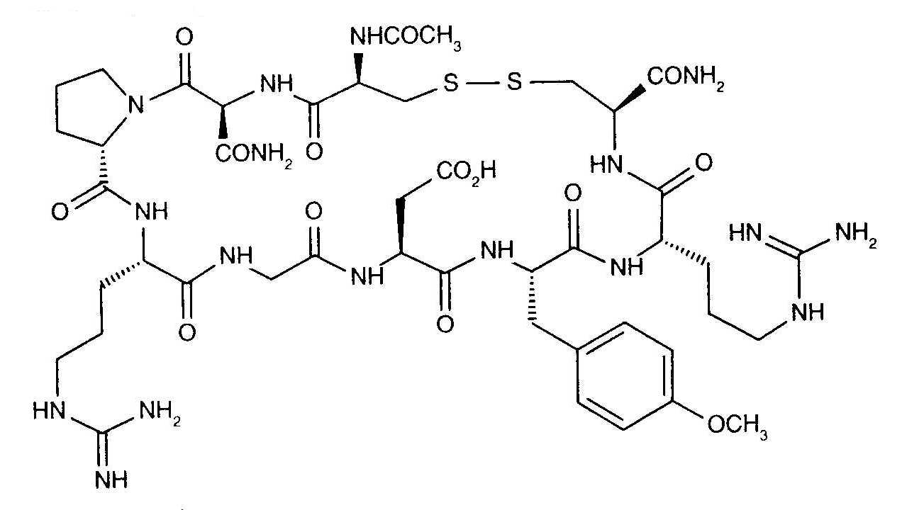
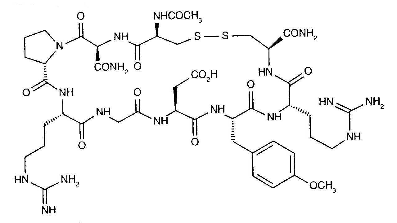
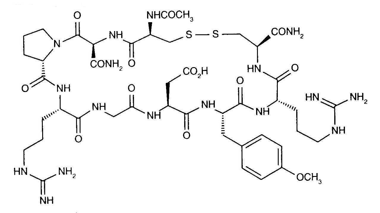
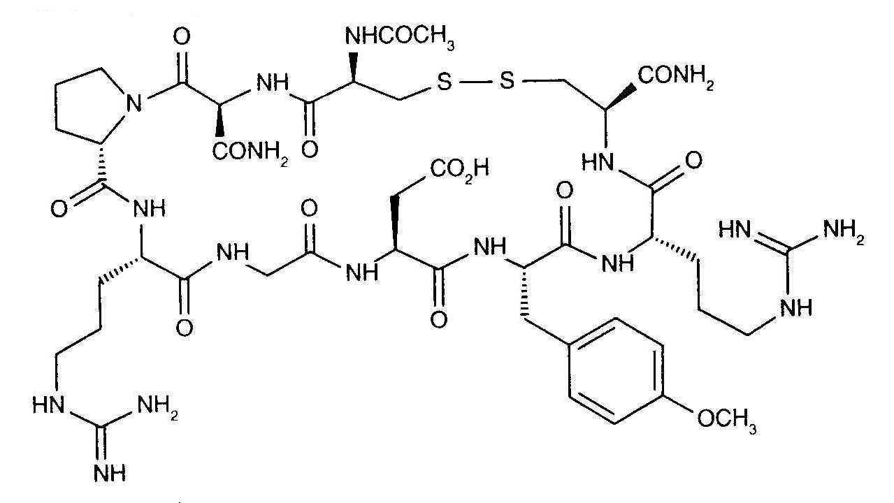
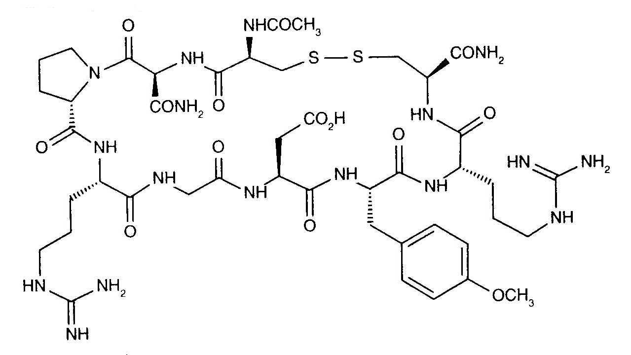
N-acetylcysteine
Хімічна структура
Стабільність фармацевтичних препаратів : N-acetylcysteine
7 / 5 000 Résultats de traduction Немає даних
Mentions Légales