Pēdējā atjaunošana :
18/03/2026
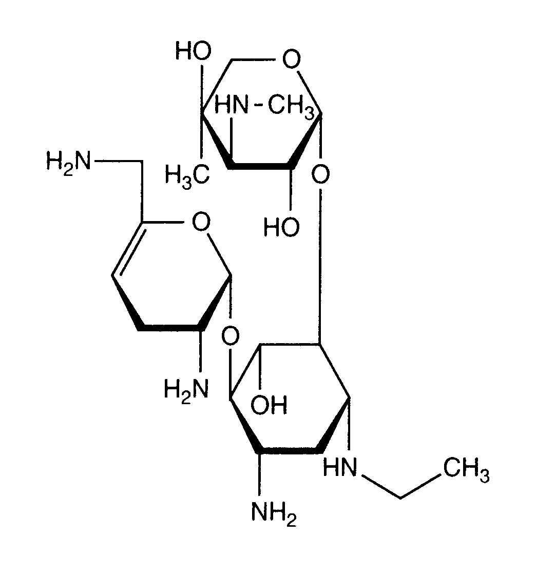
Antibiotika   Netilmicin sulfate   
Aerosols
Injekcija
Stabilitāte farmaceitisko preparātu Maisījuma stabilitāte Stabilitāti ietekmējoši faktori Saderība Literatūras saraksts pdf
   Ķīmiskā uzbūve   

Aerosols
Maisījuma stabilitāte   Aerosols   Maisījuma stabilitāte : Netilmicin sulfate      
Iepakojums Palīgviela Savienojums Temperatūra Glabāšana Stabilitātes ilgums Literatūras saraksts
Nespecifisks
Nav
Aerosols   Netilmicin sulfate Medicīniskā pudele injekcijām1000 mg   Netromicine®
Aerosols   Betamethasone sodium phosphate Medicīniskā pudele injekcijām8 mg = 2  Celestene®
Aerosols   N-acetylcysteine Medicīniskā pudele injekcijām100 mg =  Mucomyst®
23-27°C
1 Stunda
Gaisma 2648

  Mentions Légales