Последно актуализиране :
18/03/2026
Антибиотик   Netilmicin sulfate   
Аерозол
Инжекция/Инжекционен
Стабилност на лекарствени препарати Стабилност на смеси Фактори, повлияващи стабилността Съвместимост Библиография Pdf
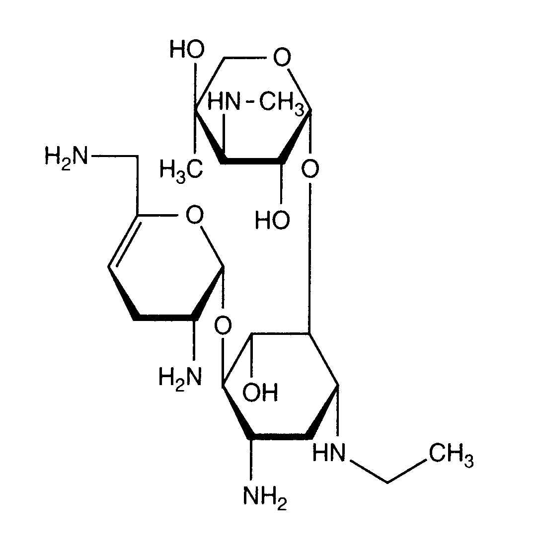
   Химична структура  

Аерозол
Стабилност на смеси   Аерозол   Стабилност на смеси : Netilmicin sulfate      
Контейнер Помощно вещество Състав / молекула Температура Съхранение Продължителност на стабилността Библиография
Не е уточнено
Няма
Аерозол   Netilmicin sulfate Фпакон1000 mg   Netromicine®
Аерозол   Betamethasone sodium phosphate Фпакон8 mg = 2  Celestene®
Аерозол   N-acetylcysteine Фпакон100 mg =  Mucomyst®
23-27°C
1 Час
Светлина 2648

  Mentions Légales