آخر تحديث :
18/03/2026
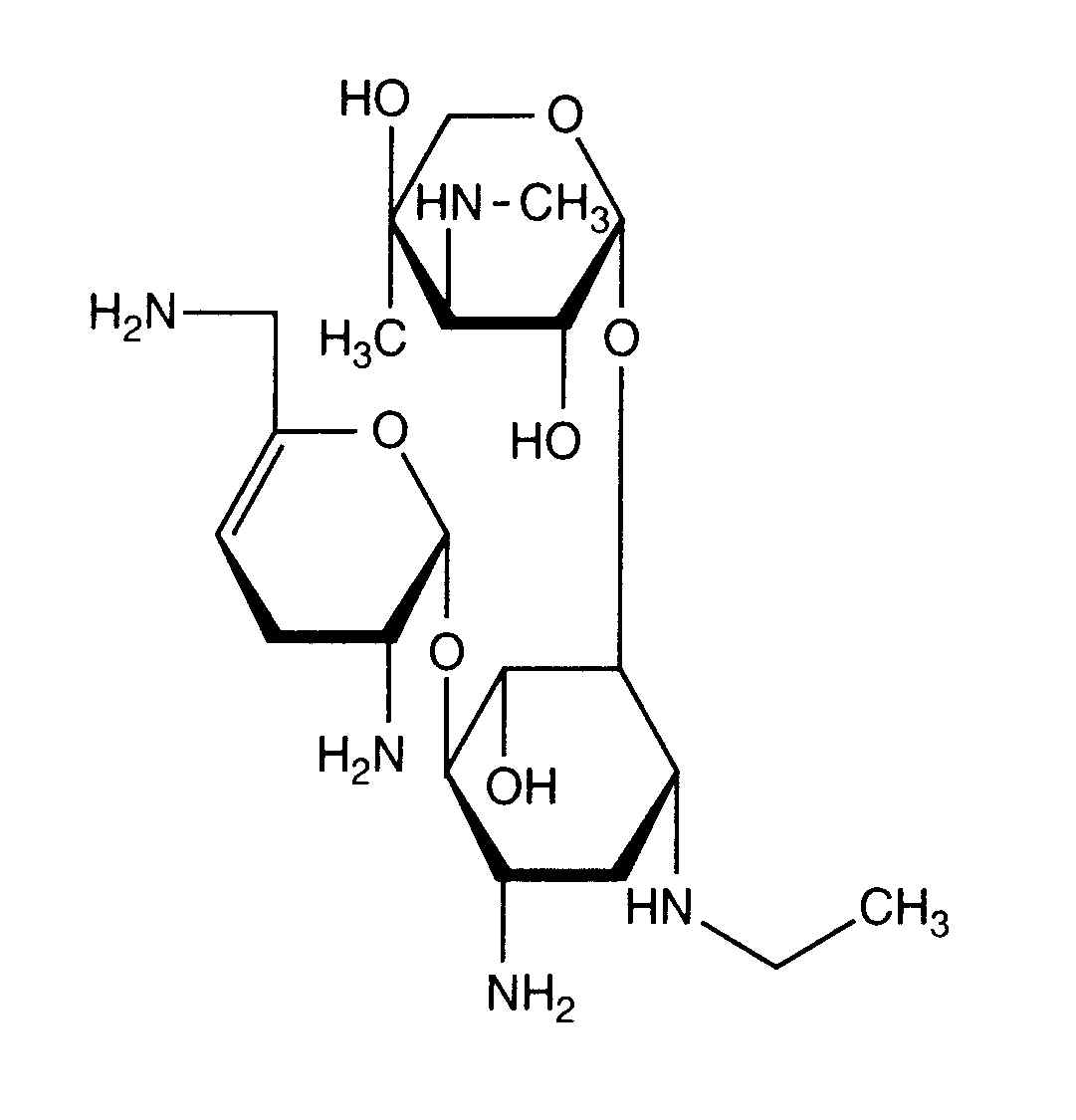
مضاد حيوي   Netilmicin sulfate   
الأيروصولات
حقن
استقرار المستحضرات الصيدلانية استقرار مخاليط العوامل التي تؤثر على الاستقرار التوافق مراجع pdf
   التركيب الكيميائي  

الأيروصولات
استقرار مخاليط   الأيروصولات   استقرار مخاليط : Netilmicin sulfate      
حاوية الاضافات مركب درجة الحرارة تخزين مدة الاستقرار مراجع
لم يتم تحديد
لا شيء
الأيروصولات   Netilmicin sulfate زجاجة الدواء للحقن1000 mg   Netromicine®
الأيروصولات   Betamethasone sodium phosphate زجاجة الدواء للحقن8 mg = 2  Celestene®
الأيروصولات   N-acetylcysteine زجاجة الدواء للحقن100 mg =  Mucomyst®
23-27°C
1 ساعة
ضوء 2648

  Mentions Légales