Cập nhật lần cuối :
27/04/2026
Thuốc giảm đau   Hydromorphone hydrochloride  
Dạng tiêm
Tính ổn định của các dung dịch Độ ổn định khi trộn lẫn Những yếu tố ảnh hưởng đến độ ổn định Khả năng tương thích Đường dùng Tài liệu tham khảo Pdf
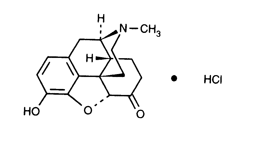
   Cấu trúc hóa học  

Tên thương mại   Tên thương mại     

Các tên thương mại được cung cấp và thành phần tá dược có thể khác nhau giữa các quốc gia và các hãng dược

Dilaudid Canada, Hoa Kỳ
Hydal Áo
Palladon Thụy Sỹ, Đan Mạch
Palladone Anh
Độ ổn định khi trộn lẫn   Dạng tiêm   Độ ổn định khi trộn lẫn : Hydromorphone hydrochloride     
Bao bì Dung môi Nồng độ Phân tử Nhiệt độ Bảo quản Thời gian ổn định Mục lục
Thủy tinh NaCl 0,9% 0,25 mg/ml
Dạng tiêm   Hydromorphone hydrochloride   
Dạng tiêm   Granisetron hydrochloride 0,5 mg/ml
20°C-23°C
4 Giờ
Tránh ánh sáng 57
Cấp độ bằng chứng A+
Thủy tinh NaCl 0,9% 0,2 mg/ml
Dạng tiêm   Hydromorphone hydrochloride   
Dạng tiêm   Ketamine hydrochloride 0,2 >> 1 mg/ml
25°C
7 Ngày
Tránh ánh sáng 2336
Cấp độ bằng chứng D
Thủy tinh NaCl 0,9% 0,05 mg/ml
Dạng tiêm   Hydromorphone hydrochloride   
Dạng tiêm   Morphine hydrochloride 0,25 mg/ml
25°C
15 Ngày
Không rõ 4667
Cấp độ bằng chứng D
Thủy tinh NaCl 0,9% 0,05 mg/ml
Dạng tiêm   Hydromorphone hydrochloride   
Dạng tiêm   Morphine hydrochloride 0,25 mg/ml
37°C
15 Ngày
Không rõ 4667
Cấp độ bằng chứng D
Thủy tinh Glucose 5% 0,1 & 1 mg/ml
Dạng tiêm   Hydromorphone hydrochloride   
Dạng tiêm   Tacrolimus 5 & 20 µg/ml
23°C-25°C
4 Giờ
Ánh sáng 814
Cấp độ bằng chứng A
Thủy tinh Không 2 & 10 & 40 mg/ml
Dạng tiêm   Hydromorphone hydrochloride   
Dạng tiêm   Dimenhydrinate 50 mg/ml
23°C
24 Giờ
Không rõ 1497
Cấp độ bằng chứng B
Thủy tinh Không 0,25 mg/ml
Dạng tiêm   Hydromorphone hydrochloride   
Dạng tiêm   Palonosetron hydrochloride 25 µg/ml
25°C
4 Giờ
Ánh sáng 2196
Cấp độ bằng chứng A+
Thủy tinh Không 2 & 10 & 40 mg/ml
Dạng tiêm   Hydromorphone hydrochloride   
Dạng tiêm   Dimenhydrinate 50 mg/ml
37°C
24 Giờ
Không rõ 1497
Cấp độ bằng chứng B
Thủy tinh Không 2 & 10 & 40 mg/ml
Dạng tiêm   Hydromorphone hydrochloride   
Dạng tiêm   Dimenhydrinate 50 mg/ml
4°C
24 Giờ
Tránh ánh sáng 1497
Cấp độ bằng chứng B
Nhựa polyvinyl chloride NaCl 0,9% 0,5 mg/ml
Dạng tiêm   Hydromorphone hydrochloride   
Dạng tiêm   Fluorouracil 1 & 16 mg/ml
-20°C
35 Ngày
Tránh ánh sáng 513
Cấp độ bằng chứng A+
Nhựa polyvinyl chloride NaCl 0,9% 20 mg/ml
Dạng tiêm   Hydromorphone hydrochloride   
Dạng tiêm   Esketamine 20 mg/ml
22°C
7 Ngày
Không rõ 4664
Cấp độ bằng chứng D
Nhựa polyvinyl chloride NaCl 0,9% 0,5 mg/ml
Dạng tiêm   Hydromorphone hydrochloride   
Dạng tiêm   Ondansetron hydrochloride 0,1 & 1 mg/ml
22°C
31 Ngày
Không rõ 6
Cấp độ bằng chứng A+
Nhựa polyvinyl chloride NaCl 0,9% 0,5 mg/ml
Dạng tiêm   Hydromorphone hydrochloride   
Dạng tiêm   Fluorouracil 16 mg/ml
23°C
7 Ngày
Không rõ 513
Cấp độ bằng chứng A+
Nhựa polyvinyl chloride NaCl 0,9% 0,5 mg/ml
Dạng tiêm   Hydromorphone hydrochloride   
Dạng tiêm   Fluorouracil 1 mg/ml
23°C
35 Ngày
Không rõ 513
Cấp độ bằng chứng A+
Nhựa polyvinyl chloride NaCl 0,9% 0,02 & 0,1 mg/ml
Dạng tiêm   Hydromorphone hydrochloride   
Dạng tiêm   Bupivacaine hydrochloride 0,62 & 1,2 mg/ml
23°C-25°C
72 Giờ
Ánh sáng 306
Cấp độ bằng chứng A
Nhựa polyvinyl chloride NaCl 0,9% 0,2 mg/ml
Dạng tiêm   Hydromorphone hydrochloride   
Dạng tiêm   Ketamine hydrochloride 0,2 >> 1 mg/ml
25°C
7 Ngày
Tránh ánh sáng 2336
Cấp độ bằng chứng D
Nhựa polyvinyl chloride NaCl 0,9% 0,05 mg/ml
Dạng tiêm   Hydromorphone hydrochloride   
Dạng tiêm   Morphine hydrochloride 0,25 mg/ml
25°C
15 Ngày
Không rõ 4667
Cấp độ bằng chứng D
Nhựa polyvinyl chloride NaCl 0,9% 0.0015 mg/ml
Dạng tiêm   Hydromorphone hydrochloride   
Dạng tiêm   Bupivacaine hydrochloride 0.5 mg/ml
25°C
30 Ngày
Không rõ 4746
Cấp độ bằng chứng A
Nhựa polyvinyl chloride NaCl 0,9% 0.03 mg/ml
Dạng tiêm   Hydromorphone hydrochloride   
Dạng tiêm   Bupivacaine hydrochloride 0.5 mg/ml
25°C
30 Ngày
Không rõ 4746
Cấp độ bằng chứng A
Nhựa polyvinyl chloride NaCl 0,9% 0.03 mg/ml
Dạng tiêm   Hydromorphone hydrochloride   
Dạng tiêm   Bupivacaine hydrochloride 2.5 mg/ml
25°C
30 Ngày
Không rõ 4746
Cấp độ bằng chứng A
Nhựa polyvinyl chloride NaCl 0,9% 0.0015 mg/ml
Dạng tiêm   Hydromorphone hydrochloride   
Dạng tiêm   Bupivacaine hydrochloride 2.5 mg/ml
25°C
30 Ngày
Không rõ 4746
Cấp độ bằng chứng A
Nhựa polyvinyl chloride NaCl 0,9% 0,5 mg/ml
Dạng tiêm   Hydromorphone hydrochloride   
Dạng tiêm   Fluorouracil 16 mg/ml
32°C
3 Ngày
Không rõ 513
Cấp độ bằng chứng A+
Nhựa polyvinyl chloride NaCl 0,9% 0,5 mg/ml
Dạng tiêm   Hydromorphone hydrochloride   
Dạng tiêm   Ondansetron hydrochloride 0,1 & 1 mg/ml
32°C
7 Ngày
Không rõ 6
Cấp độ bằng chứng A+
Nhựa polyvinyl chloride NaCl 0,9% 0,5 mg/ml
Dạng tiêm   Hydromorphone hydrochloride   
Dạng tiêm   Fluorouracil 1 mg/ml
32°C
7 Ngày
Không rõ 513
Cấp độ bằng chứng A+
Nhựa polyvinyl chloride NaCl 0,9% 20 mg/ml
Dạng tiêm   Hydromorphone hydrochloride   
Dạng tiêm   Esketamine 20 mg/ml
37°C
7 Ngày
Không rõ 4664
Cấp độ bằng chứng D
Nhựa polyvinyl chloride NaCl 0,9% 0,05 mg/ml
Dạng tiêm   Hydromorphone hydrochloride   
Dạng tiêm   Morphine hydrochloride 0,25 mg/ml
37°C
15 Ngày
Không rõ 4667
Cấp độ bằng chứng D
Nhựa polyvinyl chloride NaCl 0,9% 0,5 mg/ml
Dạng tiêm   Hydromorphone hydrochloride   
Dạng tiêm   Ondansetron hydrochloride 0,1 & 1 mg/ml
4°C
31 Ngày
Tránh ánh sáng 6
Cấp độ bằng chứng A+
Nhựa polyvinyl chloride NaCl 0,9% 0,5 mg/ml
Dạng tiêm   Hydromorphone hydrochloride   
Dạng tiêm   Fluorouracil 1 & 16 mg/ml
4°C
35 Ngày
Tránh ánh sáng 513
Cấp độ bằng chứng A+
Nhựa polyvinyl chloride NaCl 0,9% 0.0015 mg/ml
Dạng tiêm   Hydromorphone hydrochloride   
Dạng tiêm   Bupivacaine hydrochloride 0.5 mg/ml
4°C
30 Ngày
Không rõ 4746
Cấp độ bằng chứng A
Nhựa polyvinyl chloride NaCl 0,9% 0.03 mg/ml
Dạng tiêm   Hydromorphone hydrochloride   
Dạng tiêm   Bupivacaine hydrochloride 0.5 mg/ml
4°C
30 Ngày
Không rõ 4746
Cấp độ bằng chứng A
Nhựa polyvinyl chloride NaCl 0,9% 0.03 mg/ml
Dạng tiêm   Hydromorphone hydrochloride   
Dạng tiêm   Bupivacaine hydrochloride 2.5 mg/ml
4°C
30 Ngày
Không rõ 4746
Cấp độ bằng chứng A
Nhựa polyvinyl chloride NaCl 0,9% 0.0015 mg/ml
Dạng tiêm   Hydromorphone hydrochloride   
Dạng tiêm   Bupivacaine hydrochloride 2.5 mg/ml
4°C
30 Ngày
Không rõ 4746
Cấp độ bằng chứng A
Nhựa polyvinyl chloride NaCl 0,9% 0,5 mg/ml
Dạng tiêm   Hydromorphone hydrochloride   
Dạng tiêm   Ondansetron hydrochloride 0,1 & 1 mg/ml
4°C-22°C
31 Ngày
Không rõ 6
Cấp độ bằng chứng A+
Nhựa polyvinyl chloride NaCl 0,9% 0,5 mg/ml
Dạng tiêm   Hydromorphone hydrochloride   
Dạng tiêm   Granisetron hydrochloride 0,056 mg/ml
4°C-22°C
31 Giờ
Không rõ 6
Cấp độ bằng chứng A+
Nhựa polyvinyl chloride NaCl 0,9% 0,5 mg/ml
Dạng tiêm   Hydromorphone hydrochloride   
Dạng tiêm   Granisetron hydrochloride 0,056 mg/ml
4°C-22°C
31 Giờ
Không rõ 6
Cấp độ bằng chứng A+
Nhựa polyvinyl chloride Glucose 5% 0,5 mg/ml
Dạng tiêm   Hydromorphone hydrochloride   
Dạng tiêm   Fluorouracil 1 & 16 mg/ml
-20°C
35 Ngày
Tránh ánh sáng 513
Cấp độ bằng chứng A+
Nhựa polyvinyl chloride Glucose 5% 0,5 mg/ml
Dạng tiêm   Hydromorphone hydrochloride   
Dạng tiêm   Fluorouracil 16 mg/ml
23°C
7 Ngày
Không rõ 513
Cấp độ bằng chứng A+
Nhựa polyvinyl chloride Glucose 5% 0,5 mg/ml
Dạng tiêm   Hydromorphone hydrochloride   
Dạng tiêm   Fluorouracil 1 mg/ml
23°C
35 Ngày
Không rõ 513
Cấp độ bằng chứng A+
Nhựa polyvinyl chloride Glucose 5% 0,5 mg/ml
Dạng tiêm   Hydromorphone hydrochloride   
Dạng tiêm   Fluorouracil 16 mg/ml
32°C
3 Ngày
Không rõ 513
Cấp độ bằng chứng A+
Nhựa polyvinyl chloride Glucose 5% 0,5 mg/ml
Dạng tiêm   Hydromorphone hydrochloride   
Dạng tiêm   Fluorouracil 1 mg/ml
32°C
7 Ngày
Không rõ 513
Cấp độ bằng chứng A+
Nhựa polyvinyl chloride Glucose 5% 0,5 mg/ml
Dạng tiêm   Hydromorphone hydrochloride   
Dạng tiêm   Fluorouracil 1 & 16 mg/ml
4°C
35 Ngày
Tránh ánh sáng 513
Cấp độ bằng chứng A+
Nhựa polyethylen NaCl 0,9% 0,05 mg/ml
Dạng tiêm   Hydromorphone hydrochloride   
Dạng tiêm   Morphine hydrochloride 0,25 mg/ml
25°C
15 Ngày
Không rõ 4667
Cấp độ bằng chứng D
Nhựa polyethylen NaCl 0,9% 0,05 mg/ml
Dạng tiêm   Hydromorphone hydrochloride   
Dạng tiêm   Morphine hydrochloride 0,25 mg/ml
37°C
15 Ngày
Không rõ 4667
Cấp độ bằng chứng D
Nhựa polyolefin NaCl 0,9% 0.0015 mg/ml
Dạng tiêm   Hydromorphone hydrochloride   
Dạng tiêm   Bupivacaine hydrochloride 0.5 mg/ml
25°C
30 Ngày
Không rõ 4746
Cấp độ bằng chứng A
Nhựa polyolefin NaCl 0,9% 0.03 mg/ml
Dạng tiêm   Hydromorphone hydrochloride   
Dạng tiêm   Bupivacaine hydrochloride 0.5 mg/ml
25°C
30 Ngày
Không rõ 4746
Cấp độ bằng chứng A
Nhựa polyolefin NaCl 0,9% 0.03 mg/ml
Dạng tiêm   Hydromorphone hydrochloride   
Dạng tiêm   Bupivacaine hydrochloride 2.5 mg/ml
25°C
30 Ngày
Không rõ 4746
Cấp độ bằng chứng A
Nhựa polyolefin NaCl 0,9% 0.0015 mg/ml
Dạng tiêm   Hydromorphone hydrochloride   
Dạng tiêm   Bupivacaine hydrochloride 2.5 mg/ml
25°C
30 Ngày
Không rõ 4746
Cấp độ bằng chứng A
Nhựa polyolefin NaCl 0,9% 0.0015 mg/ml
Dạng tiêm   Hydromorphone hydrochloride   
Dạng tiêm   Bupivacaine hydrochloride 0.5 mg/ml
4°C
30 Ngày
Không rõ 4746
Cấp độ bằng chứng A
Nhựa polyolefin NaCl 0,9% 0.03 mg/ml
Dạng tiêm   Hydromorphone hydrochloride   
Dạng tiêm   Bupivacaine hydrochloride 0.5 mg/ml
4°C
30 Ngày
Không rõ 4746
Cấp độ bằng chứng A
Nhựa polyolefin NaCl 0,9% 0.03 mg/ml
Dạng tiêm   Hydromorphone hydrochloride   
Dạng tiêm   Bupivacaine hydrochloride 2.5 mg/ml
4°C
30 Ngày
Không rõ 4746
Cấp độ bằng chứng A
Nhựa polyolefin NaCl 0,9% 0.0015 mg/ml
Dạng tiêm   Hydromorphone hydrochloride   
Dạng tiêm   Bupivacaine hydrochloride 2.5 mg/ml
4°C
30 Ngày
Không rõ 4746
Cấp độ bằng chứng A
ống tiêm polypropylene NaCl 0,9% 0,02 & 0,04 mg/ml
Dạng tiêm   Hydromorphone hydrochloride   
Dạng tiêm   Bupivacaine hydrochloride 2,5 mg/ml
22°C
91 Ngày
Ánh sáng 1931
Cấp độ bằng chứng A
ống tiêm polypropylene NaCl 0,9% 0,2 mg/ml
Dạng tiêm   Hydromorphone hydrochloride   
Dạng tiêm   Ketamine hydrochloride 0,2 >> 1 mg/ml
25°C
7 Ngày
Tránh ánh sáng 2336
Cấp độ bằng chứng D
ống tiêm polypropylene NaCl 0,9% 10 mg/ml
Dạng tiêm   Hydromorphone hydrochloride   
Dạng tiêm   Scopolamine hydrobromide 0,04 mg/ml
Dạng tiêm   Famotidine 0,4 mg/ml
Dạng tiêm   Haloperidol lactate 0,5 mg/ml
Dạng tiêm   Dimenhydrinate 5 mg/ml
25°C
12 Giờ
Không rõ 2166
ống tiêm polypropylene NaCl 0,9% 10 mg/ml
Dạng tiêm   Hydromorphone hydrochloride   
Dạng tiêm   Famotidine 0,4 mg/ml
Dạng tiêm   Midazolam hydrochloride 1 mg/ml
25°C
96 Giờ
Không rõ 2166
ống tiêm polypropylene NaCl 0,9% 10 mg/ml
Dạng tiêm   Hydromorphone hydrochloride   
Dạng tiêm   Haloperidol lactate 0,5 mg/ml
Dạng tiêm   Metoclopramide hydrochloride 0,5 mg/ml
25°C
96 Giờ
Không rõ 2166
ống tiêm polypropylene NaCl 0,9% 10 mg/ml
Dạng tiêm   Hydromorphone hydrochloride   
Dạng tiêm   Famotidine 0,4 mg/ml
Dạng tiêm   Metoclopramide hydrochloride 0,5 mg/ml
Thuốc đạn   Ketoprofene   
25°C
96 Giờ
Không rõ 2166
ống tiêm polypropylene NaCl 0,9% 10 mg/ml
Dạng tiêm   Hydromorphone hydrochloride   
Dạng tiêm   Scopolamine hydrobromide 0,04 mg/ml
Dạng tiêm   Famotidine 0,4 mg/ml
Dạng tiêm   Haloperidol lactate 0,5 mg/ml
Dạng tiêm   Dimenhydrinate 5 mg/ml
4°C
12 Giờ
Không rõ 2166
ống tiêm polypropylene NaCl 0,9% 10 mg/ml
Dạng tiêm   Hydromorphone hydrochloride   
Dạng tiêm   Famotidine 0,4 mg/ml
Dạng tiêm   Midazolam hydrochloride 1 mg/ml
4°C
96 Giờ
Không rõ 2166
ống tiêm polypropylene NaCl 0,9% 10 mg/ml
Dạng tiêm   Hydromorphone hydrochloride   
Dạng tiêm   Famotidine 0,4 mg/ml
Dạng tiêm   Metoclopramide hydrochloride 0,5 mg/ml
Dạng tiêm   Ketorolac tromethamine 1,5 mg/ml
4°C
96 Giờ
Không rõ 2166
ống tiêm polypropylene NaCl 0,9% 0,02 & 0,04 mg/ml
Dạng tiêm   Hydromorphone hydrochloride   
Dạng tiêm   Bupivacaine hydrochloride 2,5 mg/ml
6°C
91 Ngày
Tránh ánh sáng 1931
Cấp độ bằng chứng A
Chất đàn hồi polyisoprene NaCl 0,9% 0,08 mg/ml
Dạng tiêm   Hydromorphone hydrochloride   
Dạng tiêm   Fentanyl citrate 16 µg/ml
Dạng tiêm   Nefopam 0,8 mg/ml
Dạng tiêm   Ramosetron hydrochloride 12 µg/ml
24°C
4 Ngày
Tránh ánh sáng 4666
Cấp độ bằng chứng D
Chất đàn hồi polyisoprene NaCl 0,9% 0,08 mg/ml
Dạng tiêm   Hydromorphone hydrochloride   
Dạng tiêm   Fentanyl citrate 16 µg/ml
Dạng tiêm   Nefopam 0,8 mg/ml
Dạng tiêm   Ondansetron hydrochloride 0,32 mg/ml
24°C
4 Ngày
Tránh ánh sáng 4666
Cấp độ bằng chứng D
Không rõ NaCl 0,9% 2 & 20 mg/ml
Dạng tiêm   Hydromorphone hydrochloride   
Dạng tiêm   Midazolam hydrochloride 0.1 & 0.5 mg/ml
23°C
23 Ngày
Tránh ánh sáng 345
Cấp độ bằng chứng A
Không rõ NaCl 0,9% 35 mg/ml
Dạng tiêm   Hydromorphone hydrochloride   
Dạng tiêm   Ziconotide acetate 25 µg/ml
37°C
19 Ngày
Tránh ánh sáng 2251
Cấp độ bằng chứng D
Không rõ NaCl 0,9% 50 mg/ml
Dạng tiêm   Hydromorphone hydrochloride   
Dạng tiêm   Bupivacaine hydrochloride 24 mg/ml
Dạng tiêm   Clonidine hydrochloride 2 mg/ml
37°C
90 Ngày
Tránh ánh sáng 2305
Không rõ NaCl 0,9% 2 & 20 mg/ml
Dạng tiêm   Hydromorphone hydrochloride   
Dạng tiêm   Midazolam hydrochloride 0.1 & 0.5 mg/ml
4°C
23 Ngày
Tránh ánh sáng 345
Cấp độ bằng chứng A
Không rõ Glucose 5% 2 & 20 mg/ml
Dạng tiêm   Hydromorphone hydrochloride   
Dạng tiêm   Midazolam hydrochloride 0.1 & 0.5 mg/ml
23°C
23 Ngày
Tránh ánh sáng 345
Cấp độ bằng chứng A
Không rõ Glucose 5% 2 & 20 mg/ml
Dạng tiêm   Hydromorphone hydrochloride   
Dạng tiêm   Midazolam hydrochloride 0.1 & 0.5 mg/ml
4°C
23 Ngày
Tránh ánh sáng 345
Cấp độ bằng chứng A
Không rõ Không 15 mg/ml
Dạng tiêm   Hydromorphone hydrochloride   
Dạng tiêm   Bupivacaine hydrochloride 10 mg/ml
37°C
90 Ngày
Tránh ánh sáng 4200
Cấp độ bằng chứng A

  Mentions Légales