Posledná aktualizácia :
27/04/2026
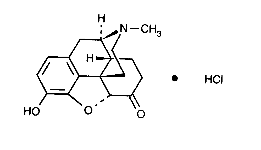
analgetikum   Hydromorphone hydrochloride  
Injekcia
Stabilita roztokov Stabilita v zmesiach Faktory ovplyvňujúce stabilitu Kompatibility spôsob podania Odkazy na literatúru PDF
   Chemický vzorec  

Obchodný názov   Obchodný názov     

Obchodné názvy sú orientačné, a zloženie pomocných látok sa môže líšiť v závislosti od krajiny a výrobcu.

Dilaudid Kanada, Spojené štáty Americké
Hydal Rakúsko
Palladon Dánsko, Švajčiarsko
Palladone Veľká Británia
Stabilita v zmesiach   Injekcia   Stabilita v zmesiach : Hydromorphone hydrochloride     
obal rozpúšťadlo koncentrácia Zlúčenina teplota uchovávanie Trvanie stability odkazy na lieteratúru
Sklo 0,9% chlorid sodný 0,25 mg/ml
Injekcia   Hydromorphone hydrochloride   
Injekcia   Granisetron hydrochloride 0,5 mg/ml
20°C-23°C
4 hodín
Chránené pred svetlom 57
Úroveň dôkazov A+
Sklo 0,9% chlorid sodný 0,2 mg/ml
Injekcia   Hydromorphone hydrochloride   
Injekcia   Ketamine hydrochloride 0,2 >> 1 mg/ml
25°C
7 dní
Chránené pred svetlom 2336
Úroveň dôkazov D
Sklo 0,9% chlorid sodný 0,05 mg/ml
Injekcia   Hydromorphone hydrochloride   
Injekcia   Morphine hydrochloride 0,25 mg/ml
25°C
15 dní
nešpecifikované 4667
Úroveň dôkazov D
Sklo 0,9% chlorid sodný 0,05 mg/ml
Injekcia   Hydromorphone hydrochloride   
Injekcia   Morphine hydrochloride 0,25 mg/ml
37°C
15 dní
nešpecifikované 4667
Úroveň dôkazov D
Sklo 5% glukóza 0,1 & 1 mg/ml
Injekcia   Hydromorphone hydrochloride   
Injekcia   Tacrolimus 5 & 20 µg/ml
23°C-25°C
4 hodín
Za svetla 814
Úroveň dôkazov A
Sklo Žiadny 2 & 10 & 40 mg/ml
Injekcia   Hydromorphone hydrochloride   
Injekcia   Dimenhydrinate 50 mg/ml
23°C
24 hodín
nešpecifikované 1497
Úroveň dôkazov B
Sklo Žiadny 0,25 mg/ml
Injekcia   Hydromorphone hydrochloride   
Injekcia   Palonosetron hydrochloride 25 µg/ml
25°C
4 hodín
Za svetla 2196
Úroveň dôkazov A+
Sklo Žiadny 2 & 10 & 40 mg/ml
Injekcia   Hydromorphone hydrochloride   
Injekcia   Dimenhydrinate 50 mg/ml
37°C
24 hodín
nešpecifikované 1497
Úroveň dôkazov B
Sklo Žiadny 2 & 10 & 40 mg/ml
Injekcia   Hydromorphone hydrochloride   
Injekcia   Dimenhydrinate 50 mg/ml
4°C
24 hodín
Chránené pred svetlom 1497
Úroveň dôkazov B
polyvinylchlorid (PVC) 0,9% chlorid sodný 0,5 mg/ml
Injekcia   Hydromorphone hydrochloride   
Injekcia   Fluorouracil 1 & 16 mg/ml
-20°C
35 dní
Chránené pred svetlom 513
Úroveň dôkazov A+
polyvinylchlorid (PVC) 0,9% chlorid sodný 20 mg/ml
Injekcia   Hydromorphone hydrochloride   
Injekcia   Esketamine 20 mg/ml
22°C
7 dní
nešpecifikované 4664
Úroveň dôkazov D
polyvinylchlorid (PVC) 0,9% chlorid sodný 0,5 mg/ml
Injekcia   Hydromorphone hydrochloride   
Injekcia   Ondansetron hydrochloride 0,1 & 1 mg/ml
22°C
31 dní
nešpecifikované 6
Úroveň dôkazov A+
polyvinylchlorid (PVC) 0,9% chlorid sodný 0,5 mg/ml
Injekcia   Hydromorphone hydrochloride   
Injekcia   Fluorouracil 16 mg/ml
23°C
7 dní
nešpecifikované 513
Úroveň dôkazov A+
polyvinylchlorid (PVC) 0,9% chlorid sodný 0,5 mg/ml
Injekcia   Hydromorphone hydrochloride   
Injekcia   Fluorouracil 1 mg/ml
23°C
35 dní
nešpecifikované 513
Úroveň dôkazov A+
polyvinylchlorid (PVC) 0,9% chlorid sodný 0,02 & 0,1 mg/ml
Injekcia   Hydromorphone hydrochloride   
Injekcia   Bupivacaine hydrochloride 0,62 & 1,2 mg/ml
23°C-25°C
72 hodín
Za svetla 306
Úroveň dôkazov A
polyvinylchlorid (PVC) 0,9% chlorid sodný 0,2 mg/ml
Injekcia   Hydromorphone hydrochloride   
Injekcia   Ketamine hydrochloride 0,2 >> 1 mg/ml
25°C
7 dní
Chránené pred svetlom 2336
Úroveň dôkazov D
polyvinylchlorid (PVC) 0,9% chlorid sodný 0,05 mg/ml
Injekcia   Hydromorphone hydrochloride   
Injekcia   Morphine hydrochloride 0,25 mg/ml
25°C
15 dní
nešpecifikované 4667
Úroveň dôkazov D
polyvinylchlorid (PVC) 0,9% chlorid sodný 0.0015 mg/ml
Injekcia   Hydromorphone hydrochloride   
Injekcia   Bupivacaine hydrochloride 0.5 mg/ml
25°C
30 dní
nešpecifikované 4746
Úroveň dôkazov A
polyvinylchlorid (PVC) 0,9% chlorid sodný 0.03 mg/ml
Injekcia   Hydromorphone hydrochloride   
Injekcia   Bupivacaine hydrochloride 0.5 mg/ml
25°C
30 dní
nešpecifikované 4746
Úroveň dôkazov A
polyvinylchlorid (PVC) 0,9% chlorid sodný 0.03 mg/ml
Injekcia   Hydromorphone hydrochloride   
Injekcia   Bupivacaine hydrochloride 2.5 mg/ml
25°C
30 dní
nešpecifikované 4746
Úroveň dôkazov A
polyvinylchlorid (PVC) 0,9% chlorid sodný 0.0015 mg/ml
Injekcia   Hydromorphone hydrochloride   
Injekcia   Bupivacaine hydrochloride 2.5 mg/ml
25°C
30 dní
nešpecifikované 4746
Úroveň dôkazov A
polyvinylchlorid (PVC) 0,9% chlorid sodný 0,5 mg/ml
Injekcia   Hydromorphone hydrochloride   
Injekcia   Fluorouracil 16 mg/ml
32°C
3 dní
nešpecifikované 513
Úroveň dôkazov A+
polyvinylchlorid (PVC) 0,9% chlorid sodný 0,5 mg/ml
Injekcia   Hydromorphone hydrochloride   
Injekcia   Ondansetron hydrochloride 0,1 & 1 mg/ml
32°C
7 dní
nešpecifikované 6
Úroveň dôkazov A+
polyvinylchlorid (PVC) 0,9% chlorid sodný 0,5 mg/ml
Injekcia   Hydromorphone hydrochloride   
Injekcia   Fluorouracil 1 mg/ml
32°C
7 dní
nešpecifikované 513
Úroveň dôkazov A+
polyvinylchlorid (PVC) 0,9% chlorid sodný 20 mg/ml
Injekcia   Hydromorphone hydrochloride   
Injekcia   Esketamine 20 mg/ml
37°C
7 dní
nešpecifikované 4664
Úroveň dôkazov D
polyvinylchlorid (PVC) 0,9% chlorid sodný 0,05 mg/ml
Injekcia   Hydromorphone hydrochloride   
Injekcia   Morphine hydrochloride 0,25 mg/ml
37°C
15 dní
nešpecifikované 4667
Úroveň dôkazov D
polyvinylchlorid (PVC) 0,9% chlorid sodný 0,5 mg/ml
Injekcia   Hydromorphone hydrochloride   
Injekcia   Ondansetron hydrochloride 0,1 & 1 mg/ml
4°C
31 dní
Chránené pred svetlom 6
Úroveň dôkazov A+
polyvinylchlorid (PVC) 0,9% chlorid sodný 0,5 mg/ml
Injekcia   Hydromorphone hydrochloride   
Injekcia   Fluorouracil 1 & 16 mg/ml
4°C
35 dní
Chránené pred svetlom 513
Úroveň dôkazov A+
polyvinylchlorid (PVC) 0,9% chlorid sodný 0.0015 mg/ml
Injekcia   Hydromorphone hydrochloride   
Injekcia   Bupivacaine hydrochloride 0.5 mg/ml
4°C
30 dní
nešpecifikované 4746
Úroveň dôkazov A
polyvinylchlorid (PVC) 0,9% chlorid sodný 0.03 mg/ml
Injekcia   Hydromorphone hydrochloride   
Injekcia   Bupivacaine hydrochloride 0.5 mg/ml
4°C
30 dní
nešpecifikované 4746
Úroveň dôkazov A
polyvinylchlorid (PVC) 0,9% chlorid sodný 0.03 mg/ml
Injekcia   Hydromorphone hydrochloride   
Injekcia   Bupivacaine hydrochloride 2.5 mg/ml
4°C
30 dní
nešpecifikované 4746
Úroveň dôkazov A
polyvinylchlorid (PVC) 0,9% chlorid sodný 0.0015 mg/ml
Injekcia   Hydromorphone hydrochloride   
Injekcia   Bupivacaine hydrochloride 2.5 mg/ml
4°C
30 dní
nešpecifikované 4746
Úroveň dôkazov A
polyvinylchlorid (PVC) 0,9% chlorid sodný 0,5 mg/ml
Injekcia   Hydromorphone hydrochloride   
Injekcia   Ondansetron hydrochloride 0,1 & 1 mg/ml
4°C-22°C
31 dní
nešpecifikované 6
Úroveň dôkazov A+
polyvinylchlorid (PVC) 0,9% chlorid sodný 0,5 mg/ml
Injekcia   Hydromorphone hydrochloride   
Injekcia   Granisetron hydrochloride 0,056 mg/ml
4°C-22°C
31 hodín
nešpecifikované 6
Úroveň dôkazov A+
polyvinylchlorid (PVC) 0,9% chlorid sodný 0,5 mg/ml
Injekcia   Hydromorphone hydrochloride   
Injekcia   Granisetron hydrochloride 0,056 mg/ml
4°C-22°C
31 hodín
nešpecifikované 6
Úroveň dôkazov A+
polyvinylchlorid (PVC) 5% glukóza 0,5 mg/ml
Injekcia   Hydromorphone hydrochloride   
Injekcia   Fluorouracil 1 & 16 mg/ml
-20°C
35 dní
Chránené pred svetlom 513
Úroveň dôkazov A+
polyvinylchlorid (PVC) 5% glukóza 0,5 mg/ml
Injekcia   Hydromorphone hydrochloride   
Injekcia   Fluorouracil 16 mg/ml
23°C
7 dní
nešpecifikované 513
Úroveň dôkazov A+
polyvinylchlorid (PVC) 5% glukóza 0,5 mg/ml
Injekcia   Hydromorphone hydrochloride   
Injekcia   Fluorouracil 1 mg/ml
23°C
35 dní
nešpecifikované 513
Úroveň dôkazov A+
polyvinylchlorid (PVC) 5% glukóza 0,5 mg/ml
Injekcia   Hydromorphone hydrochloride   
Injekcia   Fluorouracil 16 mg/ml
32°C
3 dní
nešpecifikované 513
Úroveň dôkazov A+
polyvinylchlorid (PVC) 5% glukóza 0,5 mg/ml
Injekcia   Hydromorphone hydrochloride   
Injekcia   Fluorouracil 1 mg/ml
32°C
7 dní
nešpecifikované 513
Úroveň dôkazov A+
polyvinylchlorid (PVC) 5% glukóza 0,5 mg/ml
Injekcia   Hydromorphone hydrochloride   
Injekcia   Fluorouracil 1 & 16 mg/ml
4°C
35 dní
Chránené pred svetlom 513
Úroveň dôkazov A+
polyetylén 0,9% chlorid sodný 0,05 mg/ml
Injekcia   Hydromorphone hydrochloride   
Injekcia   Morphine hydrochloride 0,25 mg/ml
25°C
15 dní
nešpecifikované 4667
Úroveň dôkazov D
polyetylén 0,9% chlorid sodný 0,05 mg/ml
Injekcia   Hydromorphone hydrochloride   
Injekcia   Morphine hydrochloride 0,25 mg/ml
37°C
15 dní
nešpecifikované 4667
Úroveň dôkazov D
polyolefín 0,9% chlorid sodný 0.0015 mg/ml
Injekcia   Hydromorphone hydrochloride   
Injekcia   Bupivacaine hydrochloride 0.5 mg/ml
25°C
30 dní
nešpecifikované 4746
Úroveň dôkazov A
polyolefín 0,9% chlorid sodný 0.03 mg/ml
Injekcia   Hydromorphone hydrochloride   
Injekcia   Bupivacaine hydrochloride 0.5 mg/ml
25°C
30 dní
nešpecifikované 4746
Úroveň dôkazov A
polyolefín 0,9% chlorid sodný 0.03 mg/ml
Injekcia   Hydromorphone hydrochloride   
Injekcia   Bupivacaine hydrochloride 2.5 mg/ml
25°C
30 dní
nešpecifikované 4746
Úroveň dôkazov A
polyolefín 0,9% chlorid sodný 0.0015 mg/ml
Injekcia   Hydromorphone hydrochloride   
Injekcia   Bupivacaine hydrochloride 2.5 mg/ml
25°C
30 dní
nešpecifikované 4746
Úroveň dôkazov A
polyolefín 0,9% chlorid sodný 0.0015 mg/ml
Injekcia   Hydromorphone hydrochloride   
Injekcia   Bupivacaine hydrochloride 0.5 mg/ml
4°C
30 dní
nešpecifikované 4746
Úroveň dôkazov A
polyolefín 0,9% chlorid sodný 0.03 mg/ml
Injekcia   Hydromorphone hydrochloride   
Injekcia   Bupivacaine hydrochloride 0.5 mg/ml
4°C
30 dní
nešpecifikované 4746
Úroveň dôkazov A
polyolefín 0,9% chlorid sodný 0.03 mg/ml
Injekcia   Hydromorphone hydrochloride   
Injekcia   Bupivacaine hydrochloride 2.5 mg/ml
4°C
30 dní
nešpecifikované 4746
Úroveň dôkazov A
polyolefín 0,9% chlorid sodný 0.0015 mg/ml
Injekcia   Hydromorphone hydrochloride   
Injekcia   Bupivacaine hydrochloride 2.5 mg/ml
4°C
30 dní
nešpecifikované 4746
Úroveň dôkazov A
Injekčná striekačka polypropylén 0,9% chlorid sodný 0,02 & 0,04 mg/ml
Injekcia   Hydromorphone hydrochloride   
Injekcia   Bupivacaine hydrochloride 2,5 mg/ml
22°C
91 dní
Za svetla 1931
Úroveň dôkazov A
Injekčná striekačka polypropylén 0,9% chlorid sodný 0,2 mg/ml
Injekcia   Hydromorphone hydrochloride   
Injekcia   Ketamine hydrochloride 0,2 >> 1 mg/ml
25°C
7 dní
Chránené pred svetlom 2336
Úroveň dôkazov D
Injekčná striekačka polypropylén 0,9% chlorid sodný 10 mg/ml
Injekcia   Hydromorphone hydrochloride   
Injekcia   Scopolamine hydrobromide 0,04 mg/ml
Injekcia   Famotidine 0,4 mg/ml
Injekcia   Haloperidol lactate 0,5 mg/ml
Injekcia   Dimenhydrinate 5 mg/ml
25°C
12 hodín
nešpecifikované 2166
Injekčná striekačka polypropylén 0,9% chlorid sodný 10 mg/ml
Injekcia   Hydromorphone hydrochloride   
Injekcia   Famotidine 0,4 mg/ml
Injekcia   Midazolam hydrochloride 1 mg/ml
25°C
96 hodín
nešpecifikované 2166
Injekčná striekačka polypropylén 0,9% chlorid sodný 10 mg/ml
Injekcia   Hydromorphone hydrochloride   
Injekcia   Haloperidol lactate 0,5 mg/ml
Injekcia   Metoclopramide hydrochloride 0,5 mg/ml
25°C
96 hodín
nešpecifikované 2166
Injekčná striekačka polypropylén 0,9% chlorid sodný 10 mg/ml
Injekcia   Hydromorphone hydrochloride   
Injekcia   Famotidine 0,4 mg/ml
Injekcia   Metoclopramide hydrochloride 0,5 mg/ml
Čapík   Ketoprofene   
25°C
96 hodín
nešpecifikované 2166
Injekčná striekačka polypropylén 0,9% chlorid sodný 10 mg/ml
Injekcia   Hydromorphone hydrochloride   
Injekcia   Scopolamine hydrobromide 0,04 mg/ml
Injekcia   Famotidine 0,4 mg/ml
Injekcia   Haloperidol lactate 0,5 mg/ml
Injekcia   Dimenhydrinate 5 mg/ml
4°C
12 hodín
nešpecifikované 2166
Injekčná striekačka polypropylén 0,9% chlorid sodný 10 mg/ml
Injekcia   Hydromorphone hydrochloride   
Injekcia   Famotidine 0,4 mg/ml
Injekcia   Midazolam hydrochloride 1 mg/ml
4°C
96 hodín
nešpecifikované 2166
Injekčná striekačka polypropylén 0,9% chlorid sodný 10 mg/ml
Injekcia   Hydromorphone hydrochloride   
Injekcia   Famotidine 0,4 mg/ml
Injekcia   Metoclopramide hydrochloride 0,5 mg/ml
Injekcia   Ketorolac tromethamine 1,5 mg/ml
4°C
96 hodín
nešpecifikované 2166
Injekčná striekačka polypropylén 0,9% chlorid sodný 0,02 & 0,04 mg/ml
Injekcia   Hydromorphone hydrochloride   
Injekcia   Bupivacaine hydrochloride 2,5 mg/ml
6°C
91 dní
Chránené pred svetlom 1931
Úroveň dôkazov A
Polyizoprénový elastomer 0,9% chlorid sodný 0,08 mg/ml
Injekcia   Hydromorphone hydrochloride   
Injekcia   Fentanyl citrate 16 µg/ml
Injekcia   Nefopam 0,8 mg/ml
Injekcia   Ramosetron hydrochloride 12 µg/ml
24°C
4 dní
Chránené pred svetlom 4666
Úroveň dôkazov D
Polyizoprénový elastomer 0,9% chlorid sodný 0,08 mg/ml
Injekcia   Hydromorphone hydrochloride   
Injekcia   Fentanyl citrate 16 µg/ml
Injekcia   Nefopam 0,8 mg/ml
Injekcia   Ondansetron hydrochloride 0,32 mg/ml
24°C
4 dní
Chránené pred svetlom 4666
Úroveň dôkazov D
nešpecifikované 0,9% chlorid sodný 2 & 20 mg/ml
Injekcia   Hydromorphone hydrochloride   
Injekcia   Midazolam hydrochloride 0.1 & 0.5 mg/ml
23°C
23 dní
Chránené pred svetlom 345
Úroveň dôkazov A
nešpecifikované 0,9% chlorid sodný 35 mg/ml
Injekcia   Hydromorphone hydrochloride   
Injekcia   Ziconotide acetate 25 µg/ml
37°C
19 dní
Chránené pred svetlom 2251
Úroveň dôkazov D
nešpecifikované 0,9% chlorid sodný 50 mg/ml
Injekcia   Hydromorphone hydrochloride   
Injekcia   Bupivacaine hydrochloride 24 mg/ml
Injekcia   Clonidine hydrochloride 2 mg/ml
37°C
90 dní
Chránené pred svetlom 2305
nešpecifikované 0,9% chlorid sodný 2 & 20 mg/ml
Injekcia   Hydromorphone hydrochloride   
Injekcia   Midazolam hydrochloride 0.1 & 0.5 mg/ml
4°C
23 dní
Chránené pred svetlom 345
Úroveň dôkazov A
nešpecifikované 5% glukóza 2 & 20 mg/ml
Injekcia   Hydromorphone hydrochloride   
Injekcia   Midazolam hydrochloride 0.1 & 0.5 mg/ml
23°C
23 dní
Chránené pred svetlom 345
Úroveň dôkazov A
nešpecifikované 5% glukóza 2 & 20 mg/ml
Injekcia   Hydromorphone hydrochloride   
Injekcia   Midazolam hydrochloride 0.1 & 0.5 mg/ml
4°C
23 dní
Chránené pred svetlom 345
Úroveň dôkazov A
nešpecifikované Žiadny 15 mg/ml
Injekcia   Hydromorphone hydrochloride   
Injekcia   Bupivacaine hydrochloride 10 mg/ml
37°C
90 dní
Chránené pred svetlom 4200
Úroveň dôkazov A

  Mentions Légales